Đề thi khảo sát chất lượng đầu năm môn Toán lớp 11 trường THPT Hàn Thuyên, Bắc Ninh năm học 2015 - 2016
Đề thi khảo sát chất lượng đầu năm môn Toán lớp 11
Đề thi khảo sát chất lượng đầu năm môn Toán lớp 11 trường THPT Hàn Thuyên, Bắc Ninh năm học 2015 - 2016 là đề kiểm tra đầu năm học nhằm đánh giá chất lượng học tập của học sinh từ lớp 10 lên lớp 11. Tài liệu bao gồm đáp án và đề thi môn Toán, giúp các em học sinh tự luyện tập và củng cố kiến thức hiệu quả. Mời các bạn tham khảo.
Đề thi khảo sát chất lượng đầu năm học 2014-2015 lớp 11 trường THPT Văn Quán, Vĩnh Phúc
| SỞ GD&ĐT BẮC NINH TRƯỜNG THPT HÀN THUYÊN (Đề thi có 01 trang) |
ĐỀ KIỂM TRA CHẤT LƯỢNG ĐẦU NĂM NĂM HỌC 2015-2016 MÔN: Toán. LỚP: 11 Thời gian làm bài: 180 phút, không kể thời gian phát đề |
Câu 1: (2,0 điểm) Cho hàm số y = -x2 + 4mx + m2 - 1 có đồ thị là một Parabol (m là tham số thực)
a) Khảo sát sự biến thiên và vẽ đồ thị hàm số khi m = 1.
b) Tìm m để (P) cắt trục Ox tại hai điểm phân biệt.
Câu 2: (1,0 điểm)
a) Rút gọn biểu thức ![]()
b) Cho tanx = 3. Tính giá trị biểu thức A= (cos2x - 2).(1 - tanx).
Câu 3: (1,0 điểm) Giải phương trình ![]()
Câu 4: (1,0 điểm) Trong mặt phẳng với hệ tọa độ Oxy, cho hai điểm A(2;1), B(-1;-2) và đường tròn (C) có phương trình (x - 2)2 + (y - 2)2 = 4. Viết phương trình đường thẳng AB và tìm tọa độ giao điểm của đường thẳng AB và đường tròn (C).
Câu 5: (1,0 điểm) Cho phương trình
. Tìm m để phương trình có hai nghiệm phân biệt.
Câu 6: (1,0 điểm) Trong mặt phẳng với hệ tọa độ Oxy, cho điểm A(-3;2), B(1;1). Tìm tọa độ điểm C thuộc trục Ox sao cho diện tích tam giác ABC bằng 3.
Câu 7: (1,0 điểm) Trong mặt phẳng với hệ tọa độ Oxy, cho tam giác ABC nhọn nội tiếp trong đường tròn tâm I(1;2), góc BAC bằng 600. Đường phân giác trong góc A có phương trình 9x + y + 1 = 0. Trung điểm AB là điểm M thuộc đường thẳng (d): x + y - 1 = 0. Tìm tọa độ đỉnh A và viết phương trình đường thẳng BC.
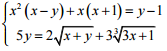
Câu 8: (1,0 điểm) Giải hệ phương trình 
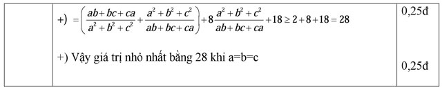
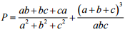
Câu 9: (1,0 điểm) Cho a, b, c là những số thực dương. Tìm giá trị nhỏ nhất của biểu thức sau
![]()
Đáp án đề thi khảo sát chất lượng đầu năm môn Toán lớp 11



