Đề thi khảo sát chất lượng đầu năm lớp 11 môn Toán năm 2015 - 2016 trường THPT Thuận Thành số 1, Bắc Ninh
Đề thi khảo sát chất lượng đầu năm lớp 11 môn Toán
Đề thi khảo sát chất lượng đầu năm lớp 11 môn Toán năm 2015 - 2016 trường THPT Thuận Thành số 1, Bắc Ninh gồm 6 câu hỏi làm trong thời gian 120 phút, giúp các bạn ôn tập lại kiến thức môn Toán lớp 10 và chuẩn bị tốt nhất cho chương trình học lớp 11. Mời các bạn tham khảo.
Đề thi khảo sát chất lượng đầu năm lớp 11 môn Toán năm 2011 - 2012 trường THPT Quế Võ số 3, Bắc Ninh
Đề kiểm tra chất lượng đầu năm lớp 11 THPT Nguyễn Gia Thiều năm 2013 - 2014
SỞ GD- ĐT BẮC NINH
TRƯỜNG THPT THUẬN THÀNH SỐ 1
ĐỀ KHẢO SÁT CHẤT LƯỢNG ĐẦU NĂM HỌC 2015 – 2016
Môn: Toán 11
(Thời gian làm bài 120 phút, không kể thời gian giao đề)
Câu 1 (2,5 điểm) Cho hàm số: f (x) = (m - 1)x2 - (3m + 1)x + 2m + 3
a) Giải bất phương trình f (x) ≤ 0 khi m = 2.
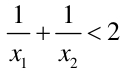
b) Tìm m để đồ thị hàm số (1) cắt trục hoành tại hai điểm phân biệt có hoành độ lần lượt là x1 ; x2 sao cho 
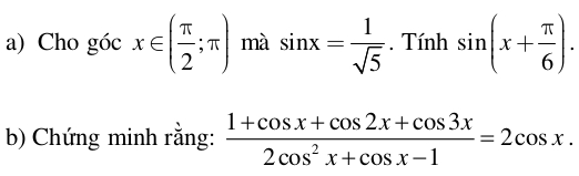
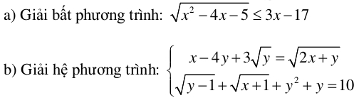
Câu 2 (2 điểm)

Câu 4 (1,5 điểm) Cho ba đường thẳng d1: x + y + 3 = 0; d2: x - y + 4 = 0; d 3: x - 2y=0
a) Gọi I là giao điểm của hai đường thẳng d1 và d2. Tìm tọa độ điểm I.
b) Viết phương trình đường tròn (C) tâm I biết (C) cắt đường thẳng d3 tại hai điểm A, B sao cho AB = 2.
Câu 5 (1,0 điểm) Trong mặt phẳng Oxy, cho hình thang ABCD (AB//CD, CD > AB) biết B (3 ; 3), C (5 ; -3)
Giao điểm I của hai đường chéo nằm trên đường thẳng .....: 2x + y - 3 = 0. Xác định tọa độ các đỉnh còn lại của hình thang ABCD để CI = 2BI, tam giác ACB có diện tích bằng 12, điểm I có hoành độ dương và điểm A có hoành độ âm.
Câu 6 (1,0 điểm) Cho a, b, c là các số thực không âm có a + b + c = 1.
Chứng minh rằng: 2(a3 + b3 + c3) + 3abc ≥ a2 + b2 + c2