Đề thi khảo sát chất lượng đầu năm môn Toán lớp 12 trường THPT Chuyên Đại học Vinh năm học 2013 - 2014
Đề thi khảo sát chất lượng đầu năm môn Toán lớp 12
Đề thi khảo sát chất lượng đầu năm môn Toán lớp 12 trường THPT Chuyên Đại học Vinh năm học 2013 - 2014 là đề kiểm tra định hướng cho học sinh thi khối A. Đây là tài liệu ôn tập môn Toán hữu ích dành cho các bạn học sinh lớp 11 mới lên lớp 12, giúp các bạn luyện tập và hệ thống lại kiến thức hiệu quả.
| TRƯỜNG ĐẠI HỌC VINH TRƯỜNG THPT CHUYÊN |
ĐỀ KHẢO SÁT CHẤT LƯỢNG ĐẦU NĂM HỌC 2013-2014 Môn thi: TOÁN – LỚP 12; định hướng cho học sinh thi khối A Thời gian làm bài: 120 phút |
Câu I (3,0 điểm). Cho hàm số y = x3 - 3x2 + 3mx + 2, m là tham số.
- Khi m = 0, viết phương trình tiếp tuyến của đồ thị hàm số tại điểm A(1;0).
- Tìm m để hàm số đã cho có 2 điểm cực trị x1, x2, thỏa mãn 2x1 + x2 = 5.
- Tìm m để hàm số đã cho đồng biến trên khoảng (2;+ ∞).
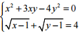
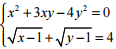
Câu II (2,0 điểm).
- Giải hệ phương trình

- Tính đạo hàm của hàm số y = √(x + 1) + 2tan 3x.
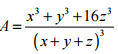
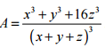
Câu III (1,0 điểm). Cho x, y, z là các số thực không âm thoả mãn x + y + z > 0. Tìm giá trị nhỏ nhất của biểu thức

Câu IV (2,0 điểm). Cho hình chóp S.ABC có SA = SB = SC = a√2, tam giác ABC vuông tại B với AB = a√2, BC = 2a.
- Chứng minh (SAC) ⊥ (ABC).
- Tính theo a thể tích của khối chóp S.ABC.
Câu V (2,0 điểm). Cho hình lăng trụ đều ABCD.A'B'C'D' có cạnh đáy bằng a, cạnh bên bằng 2a.
- Tính theo a khoảng cách từ B' đến mặt phẳng (A'C'B).
- Gọi M, N lần lượt là trung điểm của CD, DD'. Tính khoảng cách giữa MN và A'C' theo a.
Đáp án đề thi khảo sát chất lượng đầu năm môn Toán lớp 12



