Đề thi khảo sát chất lượng đầu năm môn Toán lớp 12 trường THPT Nguyễn Huệ, Phú Yên năm học 2016 - 2017
Đề kiểm tra khảo sát chất lượng đầu năm môn Toán lớp 12
Đề thi khảo sát chất lượng đầu năm môn Toán lớp 12 trường THPT Nguyễn Huệ, Phú Yên năm học 2016 - 2017 có đáp án đi kèm, là tài liệu ôn tập môn Toán hữu ích dành cho các bạn học sinh lớp 11 mới lên lớp 12, giúp các bạn luyện tập và hệ thống lại kiến thức hiệu quả. Chúc các bạn học tốt.
Đề thi khảo sát chất lượng đầu năm môn Toán lớp 12 trường THPT Mường Bi, Hòa Bình
|
Trường THPT Nguyễn Huệ Tổ Toán |
ĐỀ KIỂM TRA (KHẢO SÁT CHẤT LƯỢNG) Môn: Toán - Lớp 12 Năm học: 2016 – 2017 Thời gian: 45 phút (Không kể thời gian giao đề) |
Bài 1: (5 điểm) Lập bảng biến thiên, tìm các khoảng tăng, giảm và cực trị của hàm số:
1/ y = x3 – 3x2 – 7
2/ y = x4 – 2x2
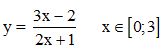
Bài 2: (1,5 điểm) Tìm giá trị lớn nhất, giá trị nhỏ nhất của hàm số:

Bài 3: (1 điểm) Tìm tiệm cận đứng và tiệm cận ngang của đồ thị hàm số:
![]()
Bài 4: (1 điểm) Tìm cực trị của hàm số:
y = √x – 2sinx
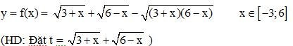
Bài 5: (1 điểm) Tìm giá trị lớn nhất và giá trị nhỏ nhất của hàm số:

Bài 6: (0,5 điểm) Cho a ≤ 6, b ≤ –8, c ≤ 3. Chứng minh rằng ∀x ≥ 1 ta có:
x4 ≥ ax2 + bx + c
Đáp án đề kiểm tra khảo sát chất lượng đầu năm môn Toán lớp 12


