Giao diện mới của VnDoc Pro: Dễ sử dụng hơn - chỉ tập trung vào lớp bạn quan tâm. Vui lòng chọn lớp mà bạn quan tâm: Lưu và trải nghiệm
Đóng
Điểm danh hàng ngày
  • Hôm nay +3
  • Ngày 2 +3
  • Ngày 3 +3
  • Ngày 4 +3
  • Ngày 5 +3
  • Ngày 6 +3
  • Ngày 7 +5
Bạn đã điểm danh Hôm nay và nhận 3 điểm!
Nhắn tin Zalo VNDOC để nhận tư vấn mua gói Thành viên hoặc tải tài liệu Hotline hỗ trợ: 0936 120 169

Đề thi khảo sát chất lượng môn Vật lý lớp 10 trường THPT Đồng Đậu, Vĩnh Phúc năm 2015 - 2016 (Lần 1)

Lớp: Lớp 10
Môn: Vật Lý
Loại File: Word + PDF
Phân loại: Tài liệu Tính phí

Đề thi khảo sát chất lượng môn Vật lý lớp 10

Đề thi khảo sát chất lượng môn Vật lý lớp 10 trường THPT Đồng Đậu, Vĩnh Phúc năm 2015 - 2016 (Lần 1) có đáp án được VnDoc.com sưu tầm và đăng tải, hi vọng sẽ giúp các bạn học sinh ôn thi học kì 1 môn Vật lý lớp 10 hiệu quả, từ đó chuẩn bị cho các bài thi, bài kiểm tra sắp tới một cách tốt nhất. Mời các bạn tham khảo.

Đề thi khảo sát chất lượng môn Ngữ văn lớp 10 trường THPT Đồng Đậu, Vĩnh Phúc năm 2015 - 2016 (Lần 1)

Đề thi khảo sát chất lượng môn Lịch sử lớp 10 trường THPT Đồng Đậu, Vĩnh Phúc năm 2015 - 2016 (Lần 1)

Sở GD & ĐT Vĩnh Phúc

Trường THPT Đồng Đậu

ĐỀ THI KHẢO SÁT LỚP 10 . LẦN 1

Môn: Vật Lí

(Thời gian 90 phút)

Câu 1 (1 điểm): Một người đi từ A đến B theo một đường thẳng. Trên 1/3 đoạn đường đầu người đó đi với tốc độ trung bình 18 km/h, 1/3 đoạn đường tiếp theo đi với tốc độ trung bình 6 km/h, và 1/3 đoạn đường cuối cùng đi với tốc độ trung bình 12 km/h. Tính tốc độ trung bình của người đó trên cả quãng đường AB.

Câu 2 (2 điểm): Lúc 7h sáng một ô tô khởi hành trên một đường thẳng từ A về B với vận tốc 40km/h. Cùng lúc đó một ô tô thứ hai đi từ B về A với vận tốc 60 km/h. Biết AB = 100km, coi chuyển động của hai ô tô là thẳng đều.

a. Viết phương trình chuyển động của 2 xe trên cùng một trục tọa độ. Lấy gốc toạ độ tại A, chiều dương từ A đến B. Mốc thời gian lúc 7h sáng.

b. Hỏi sau bao lâu hai xe gặp nhau? Xác định vị trí gặp nhau.

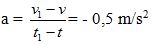
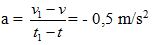
Câu 3 (2 điểm): Một đoàn tàu đang chuyển động với vận tốc 72 km/h thì hãm phanh chuyển động chậm dần đều, sau 10 giây vận tốc giảm xuống còn 54km/h.

a. Sau bao lâu kể từ lúc hãm phanh thì tàu có vận tốc 36km/h và sau bao lâu thì dừng hẳn.

b. Tính quãng đường đoàn tàu đi được kể từ khi hãm phanh cho đến lúc dừng lại.

Câu 4 (2 điểm): Một vật rơi không vận tốc đầu từ độ cao 80m xuống đất (Bỏ qua mọi lực cản).

a. Tìm vận tốc của vật ngay trước khi chạm đất và thời gian rơi của vật.

b. Tính quãng đường vật rơi được trong 0,5s đầu tiên và 0,5s cuối cùng, lấy g = 10m/s2

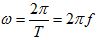
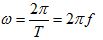
Câu 5 (2 điểm): Một đồng hồ treo tường có kim giờ dài 3cm, kim phút dài 4cm. Tìm tỉ số giữa tốc độ góc, tốc độ dài của đầu kim phút và đầu kim giờ.

Câu 6 (1 điểm): Một ca nô chuyển động đều xuôi dòng từ A đến B mất 1 giờ. Khoảng cách AB là 24km, vận tốc của nước so với bờ là 6 km/h. Tính vận tốc của canô so với nước.

Đáp án đề thi khảo sát chất lượng môn Vật lý lớp 10

Câu 1: Gọi t1, t2, t3 lần lượt là thời gian đi trên từng 1/3 quãng đường

T là thời gian chuyển động trên toàn bộ quãng đường

Ta có: t1 = s/3v1, t2 = s/3v2, t3 = s/3v2

t = t1 + t2 + t3

Vận tốc trung bình trên toàn bộ quãng đường là:

vtb = s/t. Thay vào ta được vtb = 9,8 m/s

Câu 2

a. PTCĐ x1 = 40t (km)

x2 = 100 – 60t (km)

b. Khi 2 xe gặp nhau thì x1 = x2

40t = 100 – 60t

t = 1h

Vị trí gặp nhau cách A 40 km

Câu 3

a. Áp dụng công thức tính gia tốc

Thời kể từ khi hãm phanh cho tới khi đạt được vận tốc 36 km/h

t = v- v0/a = 20s

Thời kể từ khi hãm phanh cho tới khi dừng lại

t, = 40 s

b. s = vot + 1/2 at2 = 400 m

Câu 4

a. Áp dụng công thức: s = 1/2 gt2 suy ra t = 4s

v = gt = 40 m/s

b. Quãng đương vật rơi trong 0,5 giây đầu tiên: s = 1/2 gt2 = 1,25 m

Quãng đường vật rơi trong 3,5 giây đầu là: s = 1/2 gt2 = 61,25 m

Quãng đường vật rơi trong 0,5 giây cuối cùng: s = 80 - 61,25 =18,75 m

Câu 5

Áp dụng công thức

ta có ωph = 12

ωh là tốc độ góc của kim giờ, ωp là tốc độ góc của kim phút

Áp dụng công thức: v = ωr

ta có vp/vh =16

Câu 6

Áp dụng cômh thức cộng vận tốc: V13 = V12 + V23 ta có

V13 = AB/t = 24 km/h

Vận tốc của ca nô so với nước là V12 = V13 - V23 = 18 km/h

Chọn file muốn tải về:
Đóng Chỉ thành viên VnDoc PRO/PROPLUS tải được nội dung này!
Đóng
79.000 / tháng
Đặc quyền các gói Thành viên
PRO
Phổ biến nhất
PRO+
Tải tài liệu Cao cấp 1 Lớp
30 lượt tải tài liệu
Xem nội dung bài viết
Trải nghiệm Không quảng cáo
Làm bài trắc nghiệm không giới hạn
Mua cả năm Tiết kiệm tới 48%

Có thể bạn quan tâm

Xác thực tài khoản!

Theo Nghị định 147/2024/ND-CP, bạn cần xác thực tài khoản trước khi sử dụng tính năng này. Chúng tôi sẽ gửi mã xác thực qua SMS hoặc Zalo tới số điện thoại mà bạn nhập dưới đây:

Số điện thoại chưa đúng định dạng!
Số điện thoại này đã được xác thực!
Bạn có thể dùng Sđt này đăng nhập tại đây!
Lỗi gửi SMS, liên hệ Admin
Sắp xếp theo
🖼️

Vật lý 10 - Giải lý 10

Xem thêm
🖼️

Gợi ý cho bạn

Xem thêm