Đề thi khảo sát năng lực giáo viên THCS môn Toán Phòng GD&ĐT Tư Nghĩa, Quảng Ngãi năm học 2016 - 2017
Đề thi khảo sát năng lực giáo viên THCS môn Toán
Mỗi năm cứ vào thời gian này là thầy cô giáo lại tất bật ôn tập cho đợt thi giáo viên giỏi. Để quý thầy cô giáo ôn tập dễ dàng, VnDoc.com giới thiệu: Đề thi khảo sát năng lực giáo viên THCS môn Toán Phòng GD&ĐT Tư Nghĩa, Quảng Ngãi năm học 2016 - 2017. Thông qua bộ đề thi, giáo viên sẽ làm quen với các dạng đề, biết điều chỉnh thời gian làm bài, rèn luyện và nâng cao trình độ. Chúc thành công!
Đề thi khảo sát năng lực giáo viên THCS môn Ngữ văn Sở GD&ĐT Vĩnh Phúc năm học 2015 - 2016
Đề thi Giáo viên dạy giỏi môn Ngữ văn phần thi năng lực tỉnh Vĩnh Phúc năm 2015 - 2016
Đề thi giáo viên dạy giỏi môn Toán cấp THCS phòng GD&ĐT Thái Hòa, Nghệ An năm 2015 - 2016
| PHÒNG GIÁO DỤC VÀ ĐÀO TẠO TƯ NGHĨA | HỘI THI GIÁO VIÊN DẠY GIỎI THCS NĂM HỌC 2016 - 2017 |
ĐỀ THI KIỂM TRA NĂNG LỰC
Thời gian làm bài 150 phút, không kể thời gian giao nhận đề
(Bao gồm thời gian phần nhận thức chung và kiến thức bộ môn)
PHẦN KIẾN THỨC BỘ MÔN TOÁN
Câu 1: (2.0 điểm)
a) Phát biểu các bước giải phương trình chứa ẩn ở mẫu?
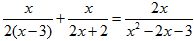
b) Áp dụng giải phương trình sau: ![]()
Câu 2: (2.0 điểm)
a) Tìm số nguyên x để phân thức
có giá trị nguyên?
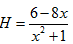
b) Tính giá trị của biểu thức: ![]()
Câu 3: (2.0 điểm) Cho tam giác ABC cân tại A. Trên cạnh AB lấy điểm D, trên cạnh AC lấy điểm E sao cho BD = AE. Kẻ DK // AC (K€BC).
a) Chứng minh tam giác BDK là tam giác cân.
b) Gọi M là trung điểm của DE. Chứng minh ΔAME = ΔKMD rồi suy ra 3 điểm A, M, K thẳng hàng.
Câu 4: (1.0 điểm) Tìm GTNN, GTLN của biểu thức: ![]()
----- Hết -------
Cán bộ coi thi không giải thích gì thêm
Đáp án đề thi khảo sát năng lực giáo viên THCS môn Toán


