Đề thi Olympic Vật lý lớp 11 trường THPT Đa Phúc, Hà Nội năm 2014 - 2015
Đề thi Olympic môn Vật lý lớp 11 có đáp án
Đề thi Olympic Vật lý lớp 11 trường THPT Đa Phúc, Hà Nội năm 2014 - 2015 có đáp án đi kèm, là tài liệu ôn tập môn Vật lý (Vật lí) hữu ích dành cho các bạn học sinh lớp 11, giúp các bạn nâng cao kiến thức và luyện tập hiệu quả, chuẩn bị cho các kì thi, bài kiểm tra sắp tới.
Đề thi học sinh giỏi lớp 11 THPT tỉnh Thái Nguyên
|
SỞ GD & ĐT HÀ NỘI TRƯỜNG THPT ĐA PHÚC Năm học 2014 - 2015 |
ĐỀ THI OLYMPIC VẬT LÝ LỚP 11 (Thời gian làm bài 90 phút) |
Bài 1: (5,0 điểm)
Một hạt có khối lượng m = 0,1 g mang điện tích q = 10-8 C bay vào trong một miền điện trường đều (có đường sức theo phương thẳng đứng xuống dưới), dưới góc = 450 và bay ra khỏi miền đó dưới góc = 600 so với phương ngang (hình 1). Biết điện trường có cường độ là E = 106 V/m và bề rộng d = 10cm. Bỏ qua tác dụng của trọng lực.
a). Tính vận tốc ban đầu v0 của hạt.
b). Tính thời gian chuyển động của hạt trong miền điện trường đó.
Bài 2: (4,0 điểm)
Ấm đun nước bằng điện có công suất là P =500W đun một lượng nước, sau 2 phút nhiệt độ của nước tăng từ 850C đến 900C. Sau đó ngắt điện trong 1 phút nhiệt độ nước giảm 10C. Biết nhiệt dung riêng của nước là 4190J/kg.K. Bỏ qua nhiệt dung riêng của ấm so với nhiệt dung riêng của nước.
a). Tính khối lượng nước trong ấm
b). Tính năng lượng bị mất do truyền vào không gian bao quanh trong khi đun nước.
Bài 3: (5,0 điểm)
Cho hai điện tích dương q1 = 2 nC và q2 = 0,018 μC đặt cố định trong không khí và cách nhau 10 cm. Đặt thêm một điện tích thứ ba q0 tại một điểm trên đường thẳng nối hai điện tích q1, q2 sao cho q0 nằm cân bằng. Hãy tìm:
a). Vị trí đặt q0.
b). Dấu và độ lớn của q0.
Bài 4: (3,0 điểm)
Một quả bóng có dung tích 2500 cm3. Người ta bơm không khí ở áp suất 105 Pa vào bóng. Mỗi lần bơm được 125 cm3 không khí. Tính áp suất của không khí trong quả bóng sau 45 lần bơm. Coi quả bóng trước khi bơm không có không khí và trong khi bơm nhiệt độ của không khí không thay đổi.
Bài 5: (3,0 điểm)
Bạn đang ở phòng thí nghiệm Vật lí của trường (có đủ thiết bị thí nghiệm), Để khảo sát dòng điện ngược chạy qua điôt, bạn cần những dụng cụ nào?
Đáp án đề thi Olympic môn Vật lý lớp 11
Bài 1. (5,0 điểm)
a. Chọn hệ tọa độ Oxy có gốc trùng với điểm bay vào của hạt, Ox nằm ngang, trục Oy hướng thẳng đứng lên trên.
Lực điện tác dụng lên hạt hướng theo phương thẳng đứng nên không làm thay đổi thành phần vận tốc theo phương ngang nên ta có:
![]()
(C là điểm bay ra của hạt)
Thời gian t0 bay trong điện trường của hạt được tính theo công thức: x = (v0cos)t

b. Thay v0 =2,7 m/s vào (2) ta có t0 = 0,0524 s
Bài 2. (4,0 điểm)
a. Công của dòng điện A = Pt với t = 2 phút =120s (1 điểm)
Theo định luật bảo toàn năng lượng ta có: Pt = cm(t2 – t1) + Q1 (1)
Trong đó m khối lượng của nước, Q1 là năng lượng bị mất do truyền vào không gian bao quanh. Khi nước nguội đi năng lượng tỏa ra môi trường bao quanh là
Q2 = mc, với = 10C là độ biến đổi nhiệt độ trong thời gian t' = 1 phút, vì t' = 0,5t nên Q2 = 0,5 Q1 nên ta có:
Q1 = 2Q2 = 2cm (2)
Thay (2) vào (1) Pt = cm(t2 – t1 + 2Δt)
![]()
b. Năng lượng bị mất là Q1 = 17137 J
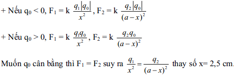
Bài 3. (5,0 điểm)
a. Gọi x là khoảng cách từ q0 và q1, giữa q1 và q2 là a.

b. Kết quả trên không phụ thuộc vào dấu và độ lớn của q0.
Bài 4. (3,0 điểm)
Sau 45 lần bơm đã đưa vào một lượng khí ở bên ngoài có thể tích V1 = 45.125 = 5625 cm3 và áp suất p1 = 105 Pa.
Khi đã vào trong quả bóng, lượng khí này có thể tích là 2500 cm3 và áp suất p2. Do nhiệt độ không đổi nên p1V1=p2V2 nên p2 = 2,25.105 Pa.
Bài 5. (0,5đ/3điểm)
Dụng cụ để khảo sát dòng điện ngược chạy qua điôt gồm:
1. Điôt chỉnh lưu
2. Nguồn điện có núm xoay 0-3-6-9-12 V
3. Điện trở bảo vệ
4. Đồng hồ đo điện đa năng hiện số( 2 chiếc)
5. Khóa đóng – ngắt mạch điện
6. Bảng lắp ráp và bộ dây dẫn nối mạch điện.