Đề thi học sinh giỏi lớp 11 THPT tỉnh Thái Nguyên
Đề thi học sinh giỏi lớp 11
Đề thi học sinh giỏi lớp 11 THPT tỉnh Thái Nguyên bao gồm đề thi và đáp án 7 môn: Toán, Vật lý, Hóa học, Sinh học, Ngữ văn, Lịch sử, Địa lý. Đây sẽ là tài liệu hữu ích giúp các em củng cố kiến thức, ôn thi học sinh giỏi lớp 11 hiệu quả. Mời các bạn cùng tham khảo.
VnDoc.com xin gửi tới bạn đọc bài viết Đề thi học sinh giỏi lớp 11 THPT tỉnh Thái Nguyên để bạn đọc cùng tham khảo. Đề thi gồm có 7 môn và có đáp án kèm theo. Mong rằng qua bài viết này các bạn có thêm tài liệu học tập để ôn tập cho thi học sinh giỏi nhé. Mời các bạn cùng tham khảo chi tiết và tải về tại đây.
- Đề thi học sinh giỏi lớp 11 THPT tỉnh Vĩnh Phúc môn Hóa học - Có đáp án
- Đề thi học sinh giỏi lớp 11 THPT Thuận Thành số 1 tỉnh Bắc Ninh
- Đề thi học sinh giỏi môn Địa lý lớp 11 tỉnh Quảng Bình(Vòng 1)
Đề thi học sinh giỏi lớp 11 môn Toán
| SỞ GIÁO DỤC VÀ ĐÀO TẠO THÁI NGUYÊN ĐỀ CHÍNH THỨC |
ĐỀ THI CHỌN HỌC SINH GIỎI CẤP TỈNH Năm học 2011 – 2012 LỚP 11 - THPT |
ĐỀ THI MÔN: TOÁN
Bài 1 (4 điểm).
Giải phương trình: 
Bài 2 (4 điểm).
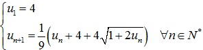
Cho dãy số (un) xác định bởi 
Tìm công thức số hạng tổng quát un của dãy số.
Bài 3 (4 điểm).
Cho tam giác nhọn ABC, trên cạnh BC lấy các điểm E, F sao cho góc BAE = CAF, gọi M, N lần lượt là hình chiếu vuông góc của F trên các đường thẳng AB và AC, kéo dài AE cắt đường tròn ngoại tiếp tam giác ABC tại D. Chứng minh rằng tứ giác AMDN và tam giác ABC có diện tích bằng nhau.
Bài 4 (4 điểm)
Cho tập hợp A = {1; 2; 3;... ; 18}. Có bao nhiêu cách chọn ra 5 số trong tập A sao cho hiệu của hai số bất kì trong 5 số đó không nhỏ hơn 2.
Bài 5 (4 điểm).
Cho các số dương a, b, c thoả mãn a + b + c = 3. Chứng minh rằng:
![]()
Đề thi học sinh giỏi lớp 11 môn Sinh học
ĐỀ THI MÔN: SINH HỌC
Câu 1 (4,0 điểm)
a. Tại sao cây xanh bị vàng khi thiếu một trong các nguyên tố nitơ (N), magiê (Mg), sắt (Fe)?
b. Cho một ví dụ minh họa ánh sáng liên quan trực tiếp với quá trình trao đổi nitơ của cây xanh.
c. Mưa axit là gì? Mưa axit ảnh hưởng đến cây xanh như thế nào?
Câu 2 (2,0 điểm)
a. Thế nào là vận động hướng động? Cho ví dụ. Vì sao vận động hướng động xảy ra chậm, trong khi vận động cảm ứng xảy ra nhanh?
b. Hãy nêu các điểm khác nhau giữa auxin và gibêrelin về cấu tạo hóa học, nồng độ tác dụng, các chất tổng hợp. Dựa trên nguyên tắc để tạo được quả không hạt?
Câu 3 (2,0 điểm)
a. Theo dõi sự sản sinh ôxi và thải ôxi trong hoạt động quang hợp của một cây C4 theo sự thay đổi của nhiệt độ môi trường, người ta lập được đồ thị dưới đây:

- Hãy cho biết đường cong nào biểu diễn sự sản sinh ôxi trong mô lá, đường cong nào biểu diễn sự thải ôxi ra môi trường? Vì sao?
- Giải thích sự biến thiên của đường cong A và đường cong B.
b. Trình bày tầm quan trọng của sự hô hấp ở rễ.
Câu 4 (2,0 điểm)
Người ta đã khẳng định ánh sáng đỏ có hiệu quả quang hợp hơn ánh sáng xanh tím. Hãy thiết kế các thí nghiệm chứng minh và giải thích cơ sở khoa học của các thí nghiệm này.
Câu 5 (2,0 điểm)
a. Một bệnh nhân bị hở van tim (van nhĩ - thất đóng không kín). Hãy giải thích về sự thay đổi nhịp tim, lượng máu tim bơm lên động mạch trong mỗi chu kì tim (thể tích tâm thu) và huyết áp của bệnh nhân đó.
b. Khi huyết áp giảm hoặc tăng thì hoạt động của tim và hệ mạch sẽ thay đổi như thế nào?
Câu 6 (2,0 điểm)
a. Vì sao trâu, bò chỉ ăn cỏ (chứa chủ yếu xenlulôzơ, rất ít chất đạm và chất béo) mà vẫn phát triển và hoạt động bình thường?
b. Trình bày những ưu điểm của tiêu hóa ngoại bào so với tiêu hóa nội bào. Vì sao ở các động vật bậc cao tiêu hóa ngoại bào lại chiếm ưu thế?
Câu 7 (2,0 điểm)
a. Tại sao bao miêlin có khả năng cách điện?
b. Tại sao nói chùy xinap có tác dụng bảo vệ hệ thần kinh?
c. Có thể thay đổi được tập tính không? Trong trường hợp nào?
Câu 8 (2,0 điểm)
a. Vì sao trứng được thụ tinh khi đã di chuyển được đoạn đường trong ống dẫn trứng mà hiếm khi xảy ra ở vị trí khác?
b. Trong quá trình tiến hoá, động vật từ dưới nước lên sống trên cạn sẽ gặp những trở ngại gì liên quan đến sinh sản? Những trở ngại đó đã được khắc phục như thế nào?
Câu 9 (2,0 điểm)
Giải thích sự điều hòa hoạt động tiết hoocmôn bằng các cơ chế liên hệ ngược và bằng cơ chế thần kinh ở người. Nêu ví dụ minh họa cho mỗi trường hợp.
Đề thi học sinh giỏi lớp 11 môn Văn
ĐỀ THI MÔN: NGỮ VĂN
Câu 1 (8,0 điểm)
Hãy viết một bài văn nghị luận (khoảng 600 từ) có nhan đề Con lật đật.
Câu 2 (12,0 điểm)
Bàn về nhân vật trong tác phẩm văn học có ý kiến cho rằng:
“Nhà văn sáng tạo nhân vật để gửi gắm tư tưởng, tình cảm và quan niệm của mình về cuộc đời”.
Em hãy làm sáng tỏ nhận định trên qua nhân vật trong một truyện ngắn mà em đã được học trong chương trình Ngữ văn lớp 11 THPT.
Đáp án môn Ngữ văn
I. Hướng dẫn chung
- Giám khảo cần nắm vững yêu cầu của hướng dẫn chấm để đánh giá đúng bài làm của thí sinh. Tránh cách chấm đếm ý cho điểm.
- Khi vận dụng đáp án và thang điểm, giám khảo cần vận dụng chủ động, linh hoạt với tinh thần trân trọng bài làm của học sinh. Đặc biệt là những bài viết có cảm xúc, có ý kiến riêng thể hiện sự độc lập, sáng tạo trong tư duy và trong cách thể hiện.
- Nếu có việc chi tiết hóa các ý cần phải đảm bảo không sai lệch với tổng điểm và được thống nhất trong toàn Hội đồng chấm thi.
- Điểm toàn bài là tổng điểm của các câu hỏi trong đề thi, chấm điểm lẻ đến 0,25 và không làm tròn.
II. Đáp án và thang điểm
Câu 1
A. ĐÁP ÁN
Học sinh có thể tự do trình bày những suy nghĩ của mình nhưng cần đảm bảo những yêu cầu sau:
1. Về kiến thức
a. Giải thích: con lật đật - đồ chơi quen thuộc
- Lật đật có nguồn gốc từ Nhật Bản, về sau du nhập vào Nga , tại đây nó được cải tiến và truyền bá rộng rãi trở thành nét văn hóa đặc sắc của đất nước bạch dương. Với trẻ em ở nhiều nước trên thế giới, trong đó có Việt Nam, lật đật là thứ đồ chơi quen thuộc và hấp dẫn.
- Con lật đật có nhiều đặc điểm rất đáng chú ý: vẻ mặt vui vẻ, tươi tắn, vì có bộ phận giữ thăng bằng rất tốt nên dù có bị tác động thế nào cũng luôn trở lại tư thế thẳng đứng.
b. Suy nghĩ của bản thân
Dù chỉ đơn giản là một món đồ chơi nhưng con lật đật lại gợi cho chúng ta nhiều suy nghĩ:
- Con lật đật luôn mang vẻ mặt tươi tắn, vui vẻ, đó chính là biểu hiện của sự lạc quan yêu đời. Điều này rất có ý nghĩa. Bởi, trong cuộc sống chúng ta cần phải lạc quan, vững vàng vượt qua thử thách và hơn thế chúng ta còn phải biết mỉm cười chấp nhận những thất bại để có thể tiếp tục làm lại.
- Con lật đật luôn luôn đứng thẳng dù có bị lật qua lật lại. Trong cuộc sống, con người luôn phải đối mặt với những khó khăn thử thách, điều quan trọng là không được cúi đầu gục ngã trước bất kì hoàn cảnh nào, phải biết đứng dậy sau mỗi thất bại để luôn hướng về phiá trước.
- Vì có một trọng tâm vững chắc nên nó có thể đứng vững dù có bị tác động thế nào. Điều này giúp mỗi chúng ta hiểu rằng mỗi người cần phải có bản lĩnh sống để có thể vững vàng dù trong mọi tình huống của cuộc sống.
c. Bài học cho mọi người
- Trong cuộc sống luôn lạc quan, sẵn sàng đối diện với những thử thách và biết chấp nhận thất bại để đi đến thành công.
- Mỗi người cần tự rèn luyện cho mình một bản lĩnh vững vàng để có thể tự tin, chủ động trong cuộc sống vốn rất nhiều những khó khăn, bất trắc.
* Lưu ý: Khi làm bài thí sinh cần đưa dẫn chứng phù hợp để làm sáng tỏ vấn đề.
2. Về kĩ năng
- Biết cách làm một bài văn NLXH về một tư tưởng đạo lý.
- Bố cục sáng rõ, lập luận chặt chẽ, sắc sảo.
- Hành văn trôi chảy, mạch lạc, chữ viết rõ ràng, không mắc lỗi chính tả, dùng từ, ngữ pháp…
B. BIỂU ĐIỂM
- Điểm 7- 8: Đáp ứng tốt các yêu cầu trên.
- Điểm 5- 6: Đáp ứng ở mức độ tương đối các yêu cầu đã nêu. Còn mắc một số lỗi nhỏ về diễn đạt, dùng từ, ngữ pháp.
- Điểm 3- 4: Về cơ bản đáp ứng các yêu cầu của bài. Có thể mắc một số lỗi về diễn đạt, dùng từ, ngữ pháp nhưng vẫn rõ ý của mình.
- Điểm 1- 2: Chưa hiểu rõ yêu cầu của đề. Bài viết lan man không thoát ý hoặc quá sơ sài.
- Điểm 0: Lạc đề, hoặc không làm bài.
Câu 2
A. ĐÁP ÁN
Bài làm của học sinh cần đảm bảo những yêu cầu sau đây:
1. Về kiến thức
a. Giải thích nhận định
Ý nghĩa, vai trò của nhân vật trong truyện là góp phần thể hiện tư tưởng, tình cảm và quan niệm của nhà văn về cuộc đời.
+ Tư tưởng: nhận thức, sự lý giải và thái độ của nhà văn đối với đối tượng, với những vấn đề nhân sinh đặt ra trong tác phẩm.
+ Tình cảm (tình cảm thẩm mĩ): những rung động, những xúc cảm thẩm mĩ đối với thực tại bộc lộ thế giới tinh thần cũng như cá tính và kinh nghiệm xã hội của nhà văn.
+ Quan niệm (quan niệm nghệ thuật) về cuộc đời: nguyên tắc tìm hiểu, cắt nghĩa thế giới và con người thể hiện ở điểm nhìn nghệ thuật, ở chủ đề sáng tác, kiểu nhân vật và mối quan hệ giữa các nhân vật, ở cách xử lí các biến cố…của nhà văn.
b. Làm sáng tỏ nhận định
- Chọn được nhân vật tiêu biểu trong một truyện ngắn đặc sắc của chương trình Ngữ văn lớp 11.
- Phân tích nhân vật ở các góc độ: Ngoại hình, nội tâm, ngôn ngữ, hành động, biến cố, mối quan hệ với các nhân vật khác….
- Trên cơ sở đó giúp người đọc thấy rõ được tư tưởng, tình cảm, quan niệm của nhà văn về cuộc đời thông qua nhân vật.
c. Bình luận
- Tư tưởng, tình cảm và quan niệm của nhà văn gửi gắm trong nhân vật giúp tác giả chuyển tải tư tưởng, chủ đề của tác phẩm và thông điệp của mình tới người đọc. Nội dung và nghệ thuật của tác phẩm nhờ đó mà gắn bó, hoàn thiện. Tác phẩm dễ thành công hơn.
- Khẳng định sự đúng đắn của nhận định. Đó là căn cứ để đánh giá, thậm định đồng thời cũng là yêu cầu đối với người cầm bút và định hướng cho sự khám phá, tiếp nhận tác phẩm.
2. Về kỹ năng
- Biết vận dụng linh hoạt những kiến thức Ngữ văn đã học để làm bài văn NLVH.
- Bố cục sáng rõ, lập luận chặt chẽ, sắc sảo.
- Hành văn trôi chảy, mạch lạc, có cảm xúc. Chữ viết rõ ràng, không mắc lỗi chính tả, dùng từ, ngữ pháp…
B. BIỂU ĐIỂM
- Điểm 11- 12: Đáp ứng tốt các yêu cầu trên, bài làm có sự sáng tạo.
- Điểm 9- 10: Đáp ứng ở mức độ khá các yêu cầu của bài.Có thể có một vài lỗi nhỏ về diễn đạt, dùng từ, chính tả...
- Điểm 7- 8: Về cơ bản đáp ứng được yêu cầu của đề, nhưng bài làm chưa sâu, còn mắc một số lỗi về diễn đạt, dùng từ, ngữ pháp…
- Điểm 5- 6: Hiểu được yêu cầu của đề, nhưng giải thích, chứng minh và bình luận còn lúng túng. Mắc một số lỗi về diễn đạt, dùng từ, chính tả, ngữ pháp…
- Điểm 3- 4: Chưa hiểu rõ yêu cầu của đề. Bài làm sơ sài, thiên về phân tích đơn thuần. Diễn đạt lủng củng, tối nghĩa. Mắc nhiều lỗi.
- Điểm 1-2: Chưa hiểu đề, bài làm quá sơ sài, mắc quá nhiều lỗi.
- Điểm 0: Lạc đề, không làm bài.
Mời bạn đọc cùng tải về file zip để xem đầy đủ nội dung tài liệu.
Trên đây VnDoc.com vừa giới thiệu tới các bạn bài viết Đề thi học sinh giỏi lớp 11 THPT tỉnh Thái Nguyên. Mong rằng qua bài viết này các bạn có thể học tập tốt hơn môn Ngữ văn 11. Mời các bạn cùng tham khảo thêm các môn Toán 11, Tiếng Anh 11, đề thi học kì 1 lớp 11, đề thi học kì 2 lớp 11...
Mời tham gia nhóm Tài liệu THPT miễn phí để tải và tìm tài liệu học tập hữu ích
