Đề thi thử đại học môn Toán lần 1 năm 2015 tỉnh Vĩnh Phúc
Đề thi thử THPT Quốc gia môn Toán có đáp án
Nhằm giúp các bạn thí sinh chuẩn bị tốt nhất cho kì thi THPT Quốc gia 2016, VnDoc xin giới thiệu tới các bạn "Đề thi thử đại học môn toán lần 1 năm 2015 tỉnh Vĩnh Phúc". Tài liệu thi thử đại học này bao gồm đề thi và đáp án, giúp các bạn học sinh có thể tự ôn luyện một cách dễ dàng. Mời các bạn cùng tham khảo.
Đề thi thử THPT Quốc gia năm 2016 môn Toán trường THPT Mai Thúc Loan, Hà Tĩnh
Đề thi thử THPT Quốc gia năm 2016 môn Toán trường THPT Chuyên Nguyễn Huệ, Hà Nội
|
SỞ GD&ĐT VĨNH PHÚC
|
ĐỀ KSCL ÔN THI THPT QUỐC GIA LẦN 1NĂM HỌC 2014 - 2015 MÔN: TOÁN Thời gian làm bài: 180 phút, không kể thời gian phát đề |
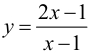
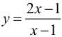
Câu 1 (4,0 điểm). Cho hàm số
![]()
a) Khảo sát sự biến thiên và vẽ đồ thị (C) của hàm số đã cho.
b) Viết phương trình tiếp tuyến của đồ thị (C) biết tiếp tuyến vuông góc với đường thẳng có phương trình y = x + 2015
Câu 2 (2,0 điểm). Giải các phương trình sau:
a) 2 sin2 x + 3 sin x – 2 = 0
b) log2 x + log2 (x – 2) = log2 (6 –x)
Câu 3 (2,0 điểm). Tìm giá trị lớn nhất và giá trị nhỏ nhất của hàm số f(x) = x3 – 3x + 2 trên đoạn [0; 2].
Câu 4 (2,0 điểm). Xếp ngẫu nhiên 3 học sinh nam và 2 học sinh nữ thành một hàng ngang. Tính xác suất để có 2 học sinh nữ đứng cạnh nhau.

Câu 6 (2,0 điểm). Trong mặt phẳng với hệ tọa độ Oxy, cho tam giác ABC có trực tâm H(3; 0) và trung điểm của BC là I(6;1). Đường thẳng AH có phương trình x + 2y – 3 = 0. Gọi D, E lần lượt là chân đường cao kẻ từ B và C của tam giác ABC. Xác định tọa độ các đỉnh của tam giác ABC, biết đường thẳng DE có phương trình x – 2 = 0 và điểm D có tung độ dương.

Thí sinh không được sử dụng tài liệu. Cán bộ coi thi không giải thích gì thêm!
Họ và tên thí sinh:……….………..………….….….; Số báo danh:………………………………………
Đáp án đề thi thử THPT Quốc gia môn Toán
Câu 1.a

Câu 1.b

Với x0 = 0 ta được tiếp tuyến có phương trình y = -x + 1
Với x0 - 2 ta được tiếp tuyến có phương trình y = -x + 5
Câu 2.a

Câu 2.b

(Còn tiếp)