Đề thi thử THPT Quốc gia 2022 môn Toán lần 2 Sở GD&ĐT Thanh Hóa



Đề thi thử tốt nghiệp THPT Quốc gia 2022 môn Toán lần 2 Sở GD&ĐT Thanh Hóa
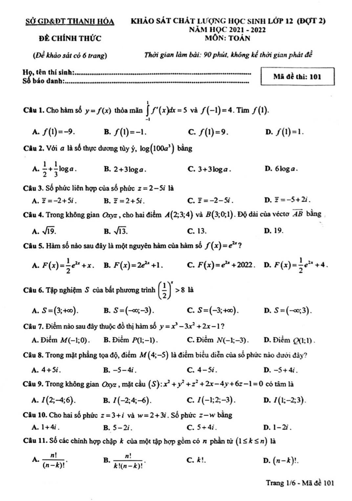
Đề thi thử THPT Quốc gia 2022 môn Toán lần 2 Sở GD&ĐT Thanh Hóa vừa được VnDoc.com sưu tầm và xin gửi tới bạn đọc cùng tham khảo. Hi vọng qua bài viết này bạn đọc có thêm nhiều tài liệu để ôn tập thật tốt cho kì thi THPT Quốc gia sắp tới nhé. Mời các bạn cùng tham khảo chi tiết và tải về bài viết dưới đây nhé.
- Đề thi thử THPT Quốc gia 2022 môn Toán bám sát đề minh họa - Đề 1
- Đề thi thử THPT Quốc gia 2022 môn Toán lần 1 trường THPT Chuyên Quang Trung, Bình Phước
Đề thi thử THPT Quốc gia 2022 môn Toán lần 2 Sở GD&ĐT Thanh Hóa được biên soạn theo cấu trúc đề thi trắc nghiệm. Đề thi được tổng hợp gồm có 50 câu hỏi trắc nghiệm, thí sinh làm bài trong thời gian 90 phút. Đề có đáp án và lời giải chi tiết kèm theo.
Trên đây VnDoc.com vừa gửi tới bạn đọc bài viết Đề thi thử THPT Quốc gia 2022 môn Toán lần 2 Sở GD&ĐT Thanh Hóa. Chắc hẳn qua bài viết bạn đọc đã nắm được những ý chính cũng như trau dồi được nội dung kiến thức của đề thi rồi đúng không ạ? Mong rằng qua bài viết này bạn đọc có thêm nhiều tài liệu để học tập tốt hơn môn Toán lớp 12 nhé. Mời các bạn cùng tham khảo thêm tài liệu học tập các môn Ngữ văn lớp 12, Tiếng Anh lớp 12...