Đề thi thử THPT Quốc gia môn Toán năm 2016 trường THCS - THPT Đông Du, Đắk Lắk (Lần 3)
Đề thi thử THPT Quốc gia 2016 môn Toán
Đề thi thử THPT Quốc gia môn Toán năm 2016 trường THCS - THPT Đông Du, Đắk Lắk (Lần 3) gồm 10 câu hỏi có đáp án đi kèm. Đây là đề luyện tập hữu ích dành cho các bạn thí sinh chuẩn bị bước vào kì thi THPT Quốc gia, luyện thi Đại học, Cao đẳng 2016 sắp tới. Mời các bạn tham khảo!
Đề thi thử THPT Quốc gia năm 2016 môn Toán trường THCS&THPT Đông Du, Đắk Lắk (Lần 1)
Đề thi thử THPT Quốc gia môn Toán năm 2016 trường THCS - THPT Đông Du, Đắk Lắk (Lần 2)
|
SỞ GIÁO DỤC - ĐÀO TẠO ĐẮK LẮK TRƯỜNG THCS – THPT ĐÔNG DU |
THI THỬ THPT QUỐC GIA LẦN 3 - 2016 MÔN: TOÁN Thời gian: 180 phút |
Câu 1 (1,0 điểm). Khảo sát sự biến thiên và vẽ đồ thị của hàm số: y = x4 - 2x2 + 1
Câu 2 (1,0 điểm). Viết phương trình tiếp tuyến của đồ thị hàm số y = x3 - 4x + 3 tại giao điểm của nó với trục tung.
Câu 3 (1,0 điểm).
a) Tìm môđun của số phức z biết ![]()
b) Giải bất phương trình: 3.9x + 2.3x - 1 > 0, x ∈ R
Câu 4 (1,0 điểm). Tính tích phân 
Câu 5 (1,0 điểm). Trong không gian với hệ tọa độ Oxyz, cho hai điểm A(1;0;2), B (2;1;1) và mặt phẳng (P): 2x + y - 2z + 4 = 0. Viết phương trình tham số của đường thẳng AB và viết phương trình của mặt cầu (S) có tâm I nằm trên đường thẳng AB, bán kính bằng 4 và tiếp xúc với mặt phẳng (P); biết tâm I có hoành độ dương.
Câu 6 (1,0 điểm).
a) Giải phương trình: cosx = √2sin2x + sinx.
b) Từ các chữ số 0, 1, 2, 3, 4 ta lập được tập A chứa các số có 3 chữ số đôi một khác nhau, lấy ngẫu nhiên 4 số từ A. Tính xác suất để trong 4 số lấy ra có đúng 1 số chia hết cho 5.
Câu 7 (1,0 điểm). Cho hình chóp S.ABCD có đáy là hình vuông cạnh a, SA ⊥ (ABCD), SB = a√3, gọi M là trung điểm AD. Tính theo a thể tích khối chóp SABCD và khoảng cách giữa hai đường thẳng SM và AB.
Câu 8 (1,0 điểm). Trong mặt phẳng với hệ tọa độ Oxy cho tam giác ABC nội tiếp trong đường tròn tâm I; có đỉnh A thuộc đường thẳng d: x + y - 2 = 0, D(2; -1) là chân đường cao của tam giác ABC hạ từ đỉnh A. Gọi điểm E(3; 1) là chân đường vuông góc hạ từ B xuống AI; điểm P(2;1) thuộc đường thẳng AC. Tìm tọa độ các đỉnh của tam giác ABC.
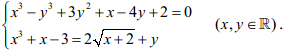
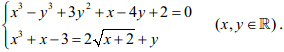
Câu 9 (1,0 điểm). Giải hệ phương trình 
Câu 10 (1,0 điểm). Cho là các số dương a, b, c và a + b + c = 3. Tìm giá trị lớn nhất của biểu thức:
![]()
Đáp án đề thi thử THPT Quốc gia môn Toán năm 2016
Câu 1:
TXĐ: D = R
Giới hạn: ![]()
Sự biến thiên:
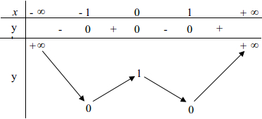
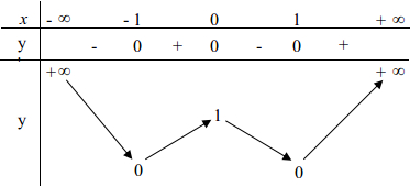
Ta có: y' = 4x3 - 4x -> y' = 0 - x = 0; x = 1
Bảng biến thiên

Suy ra:
* Hàm số nghịch biến trên các khoảng (-∞;-1),(0;1) và hàm đồng biến trên các khoảng (-1;0), (1;+∞).
* Cực trị: xCĐ = 0, yCĐ = 1
xCT = ±1, yCT = 0

(Còn tiếp)