Đề thi thử THPT Quốc gia môn Toán năm 2016 trường THCS - THPT Đông Du, Đắk Lắk (Lần 2)
Đề thi thử THPT Quốc gia 2016 môn Toán
Đề thi thử THPT Quốc gia môn Toán năm 2016 trường THPT Đông Du, Đắk Lắk (Lần 2) có 10 câu và đáp án đi kèm, đây là đề luyện thi THPT Quốc gia, xét tuyển Đại học, Cao đẳng 2016 hữu ích dành cho các bạn thí sinh, giúp các bạn củng cố và nâng cao kỹ năng làm bài môn Toán, chuẩn bị sẵn sàng cho kì thi sắp tới.
Đề thi thử THPT Quốc gia năm 2016 môn Toán trường THPT Thanh Chương 1, Nghệ An
Đề thi thử THPT Quốc gia môn Toán lần 1 năm 2016 trường THPT Chuyên Vĩnh Phúc
Tuyển tập 20 đề thi thử THPT Quốc gia môn Toán năm 2016
Đề thi thử THPT Quốc gia năm 2016 môn Toán trường THCS&THPT Đông Du, Đắk Lắk (Lần 1)
|
SỞ GIÁO DỤC & ĐÀO TẠO ĐẮK LẮK TRƯỜNG THCS - THPT ĐÔNG DU |
THI THỬ THPT QUỐC GIA - LẦN 2 - 2016 MÔN: TOÁN Thời gian làm bài: 180 phút |
Câu 1 (2,0 điểm). Cho hàm số y = x4 - x2.
a) Khảo sát sự biến thiên và vẽ đồ thị (C) của hàm số đã cho.
b) Dựa vào đồ thị (C) hãy tìm tất cả các giá trị của tham số k để phương trình sau có bốn nghiệm thực phân biệt 4x2(1 - x2) = 1 - k.
Câu 2 (1,0 điểm)
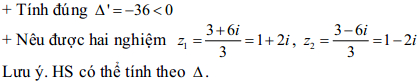
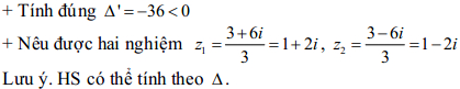
a) Giải phương trình 3x2 - 6z + 15 = 0 trên tập hợp số thức.
b) Biết cosα = 4/5 và 0o < α < 90o. Tính giá trị của biểu thức ![]()
Câu 3 (0,5 điểm). Giải phương trình 2log3(x - 1) + log√3(2x - 1) = 2.
Câu 4 (1,0 điểm). Giải bất phương trình ![]()
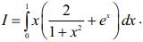
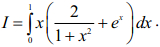
Câu 5 (1,0 điểm). Tính tích phân ![]()
Câu 6 (1,0 điểm). Cho hình chóp S.ABCD có đáy ABCD là hình chữ nhật với AB = a. Cạnh bên SA vuông góc với mặt phẳng đáy, SA tạo với mặt phẳng đáy một góc 45o và SC = 2a√2. Tính thể tích khối chóp S.ABCD và khoảng cách từ điểm đến mặt phẳng (SCD) theo a.
Câu 7 (1,0 điểm). Trong mặt phẳng Oxy, cho điểm A(4;-1). Hai đường trung tuyến BB1 và CC1 của tam giác ABC có phương trình lần lượt là 8x - y - 3 = 0 và 14x - 13y - 9 = 0. Xác định tọa độ các đỉnh B và C.
Câu 8 (1,0 điểm). Trong không gian với hệ trục Oxyz, cho hai điểm A(7;2;1) và B(-5;-4;-3), mặt phẳng (P): 3x - 2y - 6z + 3 = 0. Viết phương trình đường thẳng AB và chứng minh rằng AB song song với (P).
Câu 9 (0,5 điểm). Một người gọi điện thoại, quên hai chữ số cuối và chỉ nhớ rằng hai chữ số đó phân biệt. Tính xác suất để người đó gọi một lần đúng số cần gọi.
Câu 10 (1,0 điểm). Cho a, y, z là ba số dương có tổng bằng 1.
Tìm giá trị lớn nhất của biểu thức sau: ![]()
Đáp án đề thi thử THPT Quốc gia năm 2016 môn Toán
Bộ đề thi thử THPT Quốc gia năm 2016 môn Toán - Số 1
Bộ đề thi thử THPT Quốc gia năm 2016 môn Toán - Số 2
Câu 1.a:

Câu 1.b:

Câu 2.a:

Câu 2.b:

(Còn tiếp)