Đề thi thử THPT Quốc gia môn Toán năm 2016 trường THPT Chuyên Sơn La (Lần 3)
Đề thi thử THPT Quốc gia môn Toán năm 2016
Đề thi thử THPT Quốc gia môn Toán năm 2016 trường THPT Chuyên Sơn La (Lần 3) có đáp án được VnDoc.com sưu tầm và đăng tải, giúp các bạn học sinh ôn thi đại học môn Toán hiệu quả, chuẩn bị tốt cho kỳ thi THPT Quốc gia sắp tới. Mời các bạn tham khảo.
Đề thi thử THPT Quốc gia môn Toán năm 2016 trường THPT Chuyên Sơn La (Lần 1)
Đề thi thử THPT Quốc gia môn Toán năm 2016 tỉnh Sơn La (Lần 1)
|
SỞ GIÁO DỤC VÀ ĐÀO TẠO SƠN LA TRƯỜNG THPT CHUYÊN
|
ĐỀ THI THỬ THPT QUỐC GIA NĂM HỌC 2015 - 2016 (LẦN 3) Môn: TOÁN Thời gian làm bài: 180 phút, không kể thời gian phát đề |
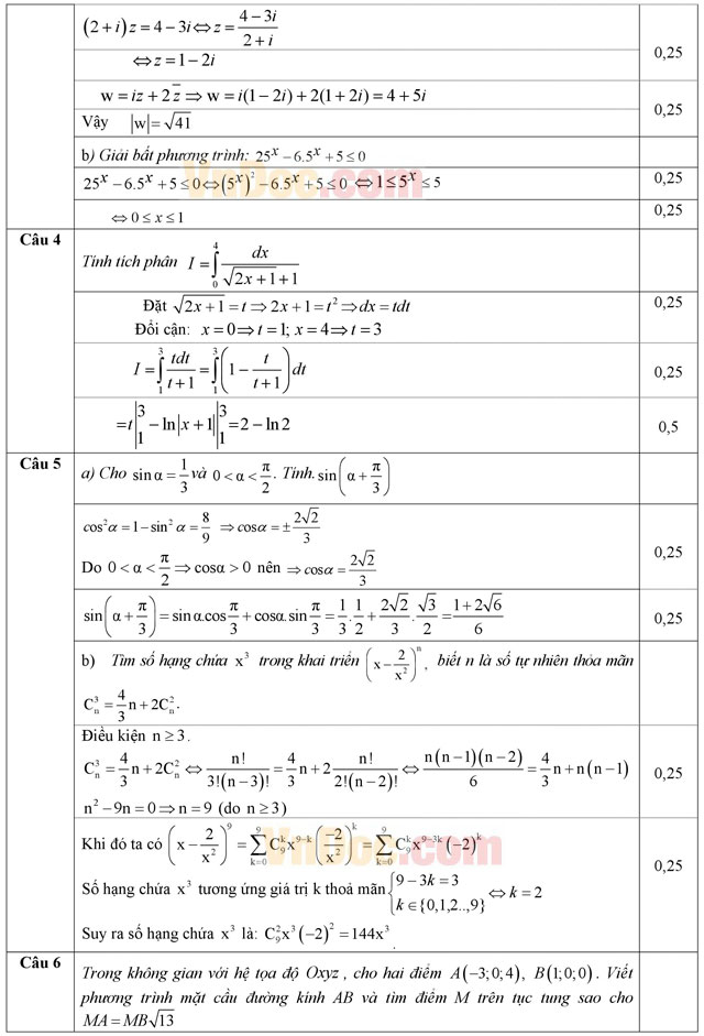
Câu 1 (1,0 điểm). Khảo sát sự biến thiên và vẽ đồ thị hàm số: y = x4 - 2x2 - 1.
Câu 2 (1,0 điểm). Viết phương trình tiếp tuyến với đồ thị hàm số
tại giao điểm của đồ thị hàm số với trục tung.
Câu 3 (1,0 điểm).
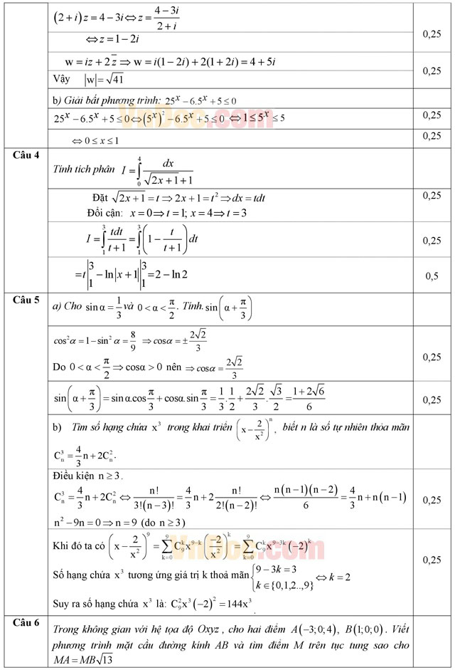
a) Cho số phức z thỏa mãn: (2 + i)z = 4 - 3i. Tìm mô đun của số phức
.
b) Giải bất phương trình: 25x - 6.5x + 5 ≤ 0.
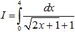
Câu 4 (1,0 điểm). Tính tích phân
.
Câu 5 (1,0 điểm).
a) Cho sinα = 1/3 và 0 < α < π/2. Tính
.
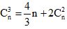
b) Tìm số hạng chứa x3 trong khai triển
, biết n là số tự nhiên thỏa mãn
(trong đó
là số tổ hợp chập k của n).
Câu 6 (1,0 điểm).
Trong không gian với hệ tọa độ Oxy, cho hai điểm A(-3; 0; 4), B(1; 0; 0). Viết phương trình mặt cầu đường kính AB và tìm điểm M trên trục tung sao cho MA = MB√13.
Câu 7 (1,0 điểm).
Cho lăng trụ đứng ABC.A'B'C' có đáy ABC là tam giác đều có cạnh bằng a và AB' = a√3. Tính thể tích khối lăng trụ và khoảng cách giữa hai đường thẳng AB và CB'.
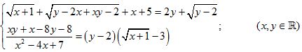
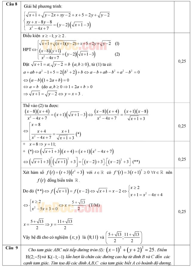
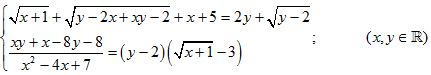
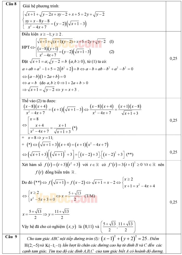
Câu 8 (1,0 điểm). Giải hệ phương trình:

Câu 9 (1,0 điểm). Cho tam giác ABC nội tiếp đường tròn (I): (x - 1)2 + (y + 2)2 = 25. Điểm H(2; -5) và K(-1; -1) theo thứ tự là chân các đường cao hạ từ đỉnh B và C đến các cạnh tam giác. Tìm tọa độ các đỉnh A, B, C của tam giác biết điểm A có hoành độ dương.
Câu 10 (1,0 điểm). Cho x, y là các số thực dương thỏa mãn xy + x + y = 3. Tìm giá trị lớn nhất của biểu thức:
![]()
Đáp án đề thi thử THPT Quốc gia môn Toán năm 2016




