Đề thi thử THPT quốc gia môn Toán năm 2018 cụm thành phố Vũng Tàu



Đề thi thử THPT quốc gia môn Toán năm 2018
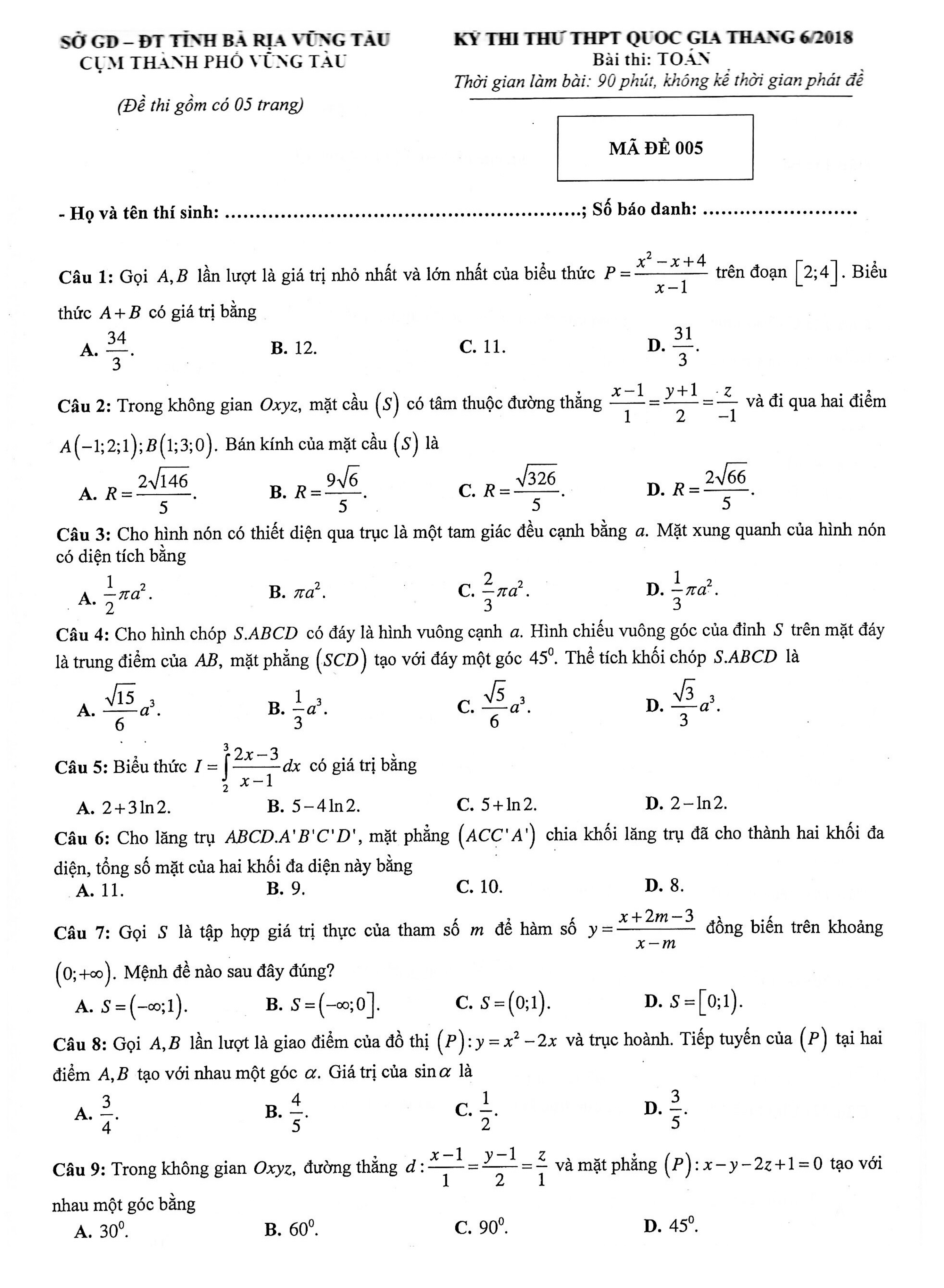
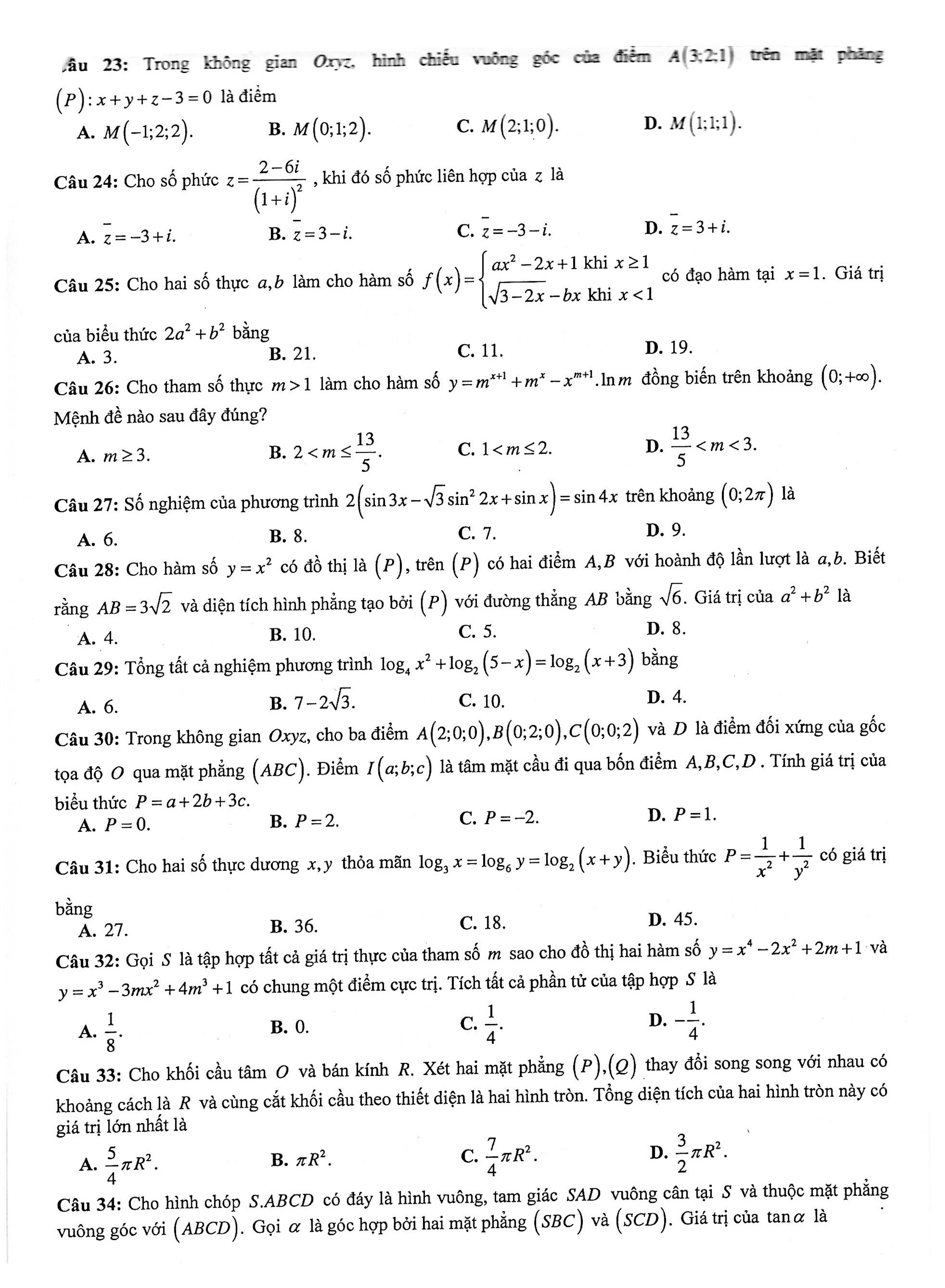
Để giúp các bạn học sinh học tập tốt hơn môn Toán, VnDoc mời các bạn tham khảo Đề thi thử THPT quốc gia môn Toán năm 2018 cụm thành phố Vũng Tàu, tài liệu gồm 50 câu hỏi trắc nghiệm, thời gian làm bài 90 phút. Mời các bạn học sinh tham khảo.
Đề thi thử THPT quốc gia môn Toán năm 2018 trường THPT Huỳnh Thúc Kháng - Khánh Hòa (Lần 3)
Đề thi thử THPT quốc gia môn Toán năm 2018 trường THPT chuyên Thái Nguyên (Lần 3)
Đề thi thử THPT quốc gia môn Toán năm 2018 trường THPT Cộng Hiền - Hải Phòng
Đề thi thử THPT quốc gia môn Toán năm 2018 trường THPT số 2 An Nhơn - Bình Định (Lần 2)
Đề thi thử THPT quốc gia môn Toán năm 2018 trường Đại Học Hồng Đức - Thanh Hóa (Lần 2)
Đề thi thử THPT quốc gia môn Toán năm 2018 trường THPT Ba Đình - Thanh Hóa (Lần 3)
----------------------------------
Trên đây VnDoc.com đã giới thiệu tới bạn đọc tài liệu: Đề thi thử THPT quốc gia môn Toán năm 2018 cụm thành phố Vũng Tàu. Để có kết quả cao hơn trong học tập, VnDoc xin giới thiệu tới các bạn học sinh tài liệu Thi thpt Quốc gia môn Toán, Thi thpt Quốc gia môn Hóa học, Thi thpt Quốc gia môn Vật Lý, Thi thpt Quốc gia môn Sinh học mà VnDoc tổng hợp và đăng tải.