Đề thi thử THPT quốc gia môn Toán năm học 2017 - 2018 trường THPT Thanh Chương 3 - Nghệ An (Lần 1)
VnDoc xin giới thiệu tới thầy cô và các bạn học sinh tài liệu Đề thi thử THPT quốc gia môn Toán năm học 2017 - 2018 trường THPT Thanh Chương 3 - Nghệ An (Lần 1), với 50 câu hỏi trắc nghiệm, thời gian làm bài 90 phút, đề thi thử Toán có đáp án. Mời các bạn học sinh tham khảo.
Đề thi thử THPT quốc gia môn Toán
Chi tiết Đề thi thử THPT quốc gia môn Toán
Câu 1: Thể tích của khối nón có chiều cao h và bán kính đáy r là?
![]()
Câu 2: Tứ diện đều ABCD cạnh a, M là trung điểm của CD. Côsin góc giữa AM và BD là:
![]()
Câu 3: Phương trình cot 3x = cotx có mấy nghiệm thuộc (0;10
\(\pi\)]
A. 9
B. 20
C. 19
D. 10
Câu 4: limx→-oo 2x +1/x -1 bằng?
A. -1
B. 1
C. 2
D. -2
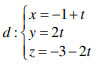
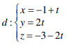
Câu 5: Trong không gian với hệ tọa độ Oxyz, viết phương trình mặt phẳng (P) đi qua hai điểm A(2;1;3), B(1; -2;1) và song song với đường thẳng

A. 2 x + y + 3z + 19 = 0
B. 10x - 4y + z - 19 = 0
C. 2 x + y + 3z - 19 = 0
D. 10x - 4y + z + 19 = 0
Đáp án Đề thi thử THPT quốc gia môn Toán


Đề thi thử THPT quốc gia môn Toán năm 2017 - 2018 trường THPT Nguyễn Huệ - Ninh Bình (Lần 3)
Đề thi thử THPT quốc gia môn Toán năm 2017 - 2018 trường Phan Đình Phùng - Hà Tĩnh (Lần 1)
---------------------------------------------
Trên đây VnDoc.com đã giới thiệu tới bạn đọc tài liệu: Đề thi thử THPT quốc gia môn Toán năm học 2017 - 2018 trường THPT Thanh Chương 3 - Nghệ An (Lần 1). Để có kết quả cao hơn trong học tập, VnDoc xin giới thiệu tới các bạn học sinh tài liệu Thi thpt Quốc gia môn Toán, Thi thpt Quốc gia môn Hóa học, Thi thpt Quốc gia môn Vật Lý, Thi thpt Quốc gia môn Sinh học mà VnDoc tổng hợp và đăng tải.