Đề thi thử THPT Quốc gia năm 2016 môn Toán trường THPT Bình Minh, Ninh Bình
Đề thi thử THPT Quốc gia 2016 môn Toán
Đề thi thử THPT Quốc gia năm 2016 môn Toán trường THPT Bình Minh, Ninh Bình có cấu trúc tương đương với đề thi THPT Quốc gia môn Toán chính thức của Bộ Giáo dục - Đào tạo. Đề thi có đáp án đi kèm, là tài liệu ôn tập môn Toán hữu ích dành cho các bạn học sinh, mời các bạn tham khảo.
Bộ 10 đề thi thử THPT Quốc gia môn Toán năm 2016
Tuyển tập Bộ 3 câu phân loại trong các đề thi thử THPT Quốc gia 2015 môn Toán
260 bài toán phương trình và hệ phương trình trong ôn thi đại học
|
SỞ GD-ĐT NINH BÌNH TRƯỜNG THPT BÌNH MINH |
ĐỀ THI THỬ THPT QUỐC GIA NĂM 2016. Môn: TOÁN Thời gian làm bài: 180 phút, không kể thời gian giao đề |
Câu 1. (2,0 điểm)
a) Cho hàm số y = (1/3)x3 - x2
Khảo sát sự biến thiên và vẽ đồ thị của hàm số (1).
b) Viết phương trình tiếp tuyến với đồ thị hàm số (1) tại điểm có hoành độ x0 = 1.
Câu 2. (1,0 điểm)
a) Giải phương trình: 2log2(x - 1) = 2 + log2(x + 2)
b) Cho α là góc thỏa sinα = 1/4. Tính giá trị của biểu thức A = (sin4α + 2sin 2α)cosα.
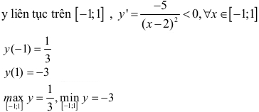
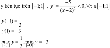
Câu 3. (1,0 điểm)
![]()
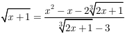
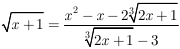
Câu 4. (1,0 điểm)
Giải phương trình:
![]()
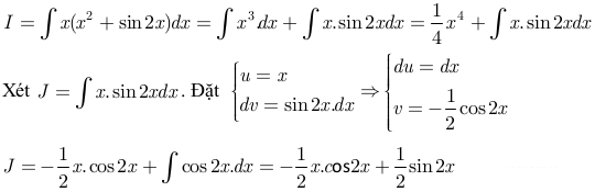
Câu 5. (1,0 điểm)
Tìm họ nguyên hàm:
![]()
Câu 6. (1,0 điểm) Cho hình chóp S.ABCD có đáy ABCD là hình thoi tâm I và có cạnh bằng a, góc BAD bằng 60o. Gọi H là trung điểm của IB và SH vuông góc với mặt phẳng (ABCD). Góc giữa SC và mặt phẳng (ABCD) bằng 45o. Tính thể tích của khối chóp S. AHCD và tính khoảng cách từ điểm A đến mặt phẳng (SCD).
Câu 7. (1,0 điểm) Đội tuyển văn nghệ của trường THPT Bình Minh có 3 học sinh khối nữ khối 12, 4 học sinh nam khối 11 và 2 học sinh nữ khối 10. Để thành lập đội tuyển văn nghệ dự thi cấp tỉnh nhà trường cần chọn 5 học sinh từ 9 học sinh trên. Tính xác suất để trong 5 học sinh được chọn có cả học sinh nam, học sinh nữ và có cả học sinh ở ba khối.
Câu 8. (1,0 điểm) Trong mặt phẳng với hệ tọa độ Oxy, cho hình vuông ABCD có đỉnh C thuộc đường thẳng d: x + 2y - 6 = 0, điểm M (1;1) thuộc cạnh BD biết rằng hình chiếu vuông góc của điểm M trên cạnh AB và AD đều nằm trên đường thẳng Δ: x + y - 1 = 0. Tìm tọa độ đỉnh C.
Câu 9. (1,0 điểm) Cho các số thực dương a, b, c thỏa mãn a + b + c = 1. Tìm giá trị nhỏ nhất của biểu thức:
![]()
Đề thi thử THPT Quốc gia môn Toán năm 2016
Câu 1a

Câu 1b
Câu 2a
Điều kiện: -2 < x ‡ 1. Bất phương trình trở thành: log2 (x - 1)2 = log2 (4x + 8)
(x - 1)2 = 4x + 8 ↔ x2 - 6x - 7 - 0 ↔ x = -1; x = 7 (thỏa điều kiện)
Vậy phương trình có hai nghiệm x = -1; x = 7
Câu 2b
A = (sin4α + 2sin2α)cosα = (cos2α + 1)2sinα.cosα
= 2cos2α.2sin2α.cosα
= 8cos4α.sinα = 8(1 - sin2α)2.sinα = 225/128
Câu 3

Câu 4

Câu 5
