Đề thi thử THPT Quốc gia năm 2016 môn Toán trường THPT Kim Liên, Nghệ An (Lần 1)
Đề thi thử THPT Quốc gia 2016 môn Toán
Đề thi thử THPT Quốc gia năm 2016 môn Toán trường THPT Kim Liên, Nghệ An (Lần 1) gồm 10 câu hỏi có đáp án đi kèm, là tài liệu ôn tập môn Toán kì thi THPT Quốc gia hữu ích dành cho các bạn học sinh lớp 12, chuẩn bị bước vào kì thi THPT Quốc gia, xét tuyển vào Đại học, Cao đẳng 2016 khối A, khối B, khối D hiệu quả.
Tuyển tập 100 hệ phương trình luyện thi đại học
Bộ 10 đề thi thử THPT Quốc gia môn Toán năm 2016
Tuyển tập Bộ 3 câu phân loại trong các đề thi thử THPT Quốc gia 2015 môn Toán
|
TRƯỜNG THPT KIM LIÊN TỔ TOÁN |
ĐỀ THI THỬ THPT QUỐC GIA NĂM 2016 LẦN 1Môn Toán –Thời gian làm bài 180 phút
|
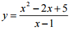
Câu 1 (1 điểm ). Khảo sát sự biến thiên và vẽ đồ thị hàm số
![]()
Câu 2 (1 điểm). Tìm giá trị lớn nhất, giá trị nhỏ nhất của hàm số
trên đoạn [2;5]
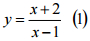
Câu 3 (1 điểm).

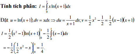
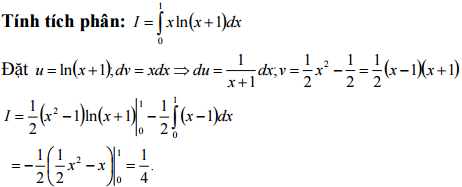
Câu 4 (1 điểm). Tính tích phân:
![]()
Câu 5 (1 điểm). Trong không gian Oxyz, viết phương trình mặt cầu có tâm thuộc trục Oz và đi qua hai điểm A (3;4;4), B (-4;1;1).
Câu 6 (1 điểm).
a) Trong một đợt phỏng vấn học sinh trường THPT Kim Liên để chọn 6 học sinh đi du học Nhật Bản với học bổng là được hỗ trợ 75% kinh phí đào tạo. Biết số học sinh đi phỏng vấn gồm 5 học sinh lớp 12C3, 7 học sinh lớp 12C7, 8 học sinh lớp 12C9 và 10 học sinh lớp 12C10.
Giả sử cơ hội của các học sinh vượt qua cuộc phỏng vấn là như nhau. Tính xác suất để có ít nhất 2 học sinh lớp 12C3 được chọn.
b) Tìm hệ số của x6 trong khai triển (2 - 3x2)8
Câu 7 (1 điểm). Cho hình lăng trụ tam giác ABC.A'B'C', có đáy ABC là tam giác vuông cân ở B và AB = a. Hình chiếu vuông góc của A' lên (ABC) trùng với trung điểm H của cạnh AB. Biết diện tích mặt bên ABB'A' bằng 3a2.
a) Tính thể tích khối lăng trụ đã cho.
b) Tính khoảng cách từ điểm B đến mp (ACB').
Câu 8 (1 điểm). Trong mặt phẳng tọa độ Oxy, cho hình vuông ABCD tâm I. Biết trung điểm cạnh AB là M(0;3), trung điểm đoạn thẳng IC là E(1;0) và điểm A có tọa độ nguyên. Tìm tọa độ các đỉnh A, B, C, D.
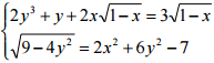
Câu 9 (1 điểm). Giải hệ phương trình:

Câu 10 (1 điểm). Cho các số thực a, b, c thỏa mãn: a + b + c = 0, a2 + b2 + c2 = 6
Đề thi thử THPT Quốc gia môn Toán năm 2016
Câu 1:

Câu 2:

Câu 3:

Câu 4:

Câu 5:

Câu 6:

(Còn tiếp)