Đề thi thử THPT Quốc gia năm 2016 môn Toán trường THPT Nguyễn Huệ, Thái Nguyên
Đề thi thử THPT Quốc gia năm 2016 môn Toán
Đề thi thử THPT Quốc gia năm 2016 môn Toán trường THPT Nguyễn Huệ, Thái Nguyên có đáp án đi kèm, là tài liệu ôn tập, luyện thi đại học môn Toán hữu ích dành cho các bạn học sinh, giúp các bạn chuẩn bị tốt nhất cho kì thi THPT Quốc gia 2016 sắp tới. Mời các bạn tham khảo.
Đề thi thử THPT Quốc gia năm 2016 môn Toán trường THPT Lương Ngọc Quyến, Thái Nguyên (Lần 1)
Đề thi thử THPT Quốc gia môn Toán lần 1 năm 2016 trường THPT Chuyên Vĩnh Phúc
| SỞ GD&ĐT THÁI NGUYÊN TRƯỜNG THPT NGUYỄN HUỆ |
ĐỀ THI THỬ KỲ THI THPT QUỐC GIA NĂM 2016 Môn thi: TOÁN Thời gian làm bài: 180 phút, không kể thời gian giao đề |
Câu 1 (2,0 điểm) Cho hàm số y = x4 – 2x2 – 3
a) Khảo sát sự biến thiên và vẽ đồ thị (C) của hàm số.
b) Tìm m số để phương trình: –x4 + 2x2 – 2 + m = 0 (1) có 4 nghiệm phân biệt.
Câu 2 (1,0 điểm).
a) Giải các phương trình sau: 2cos2x - 8cosx + 5 = 0.
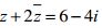
b) Tìm số phức z thoả mãn: ![]()
Câu 3 (0,5 điểm). Giải phương trình sau: log22x - 3log2x = 4 .
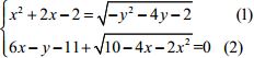
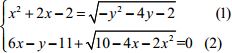
Câu 4 (1,0 điểm). Giải hệ phương trình sau: 
Câu 5 (1,0 điểm). Tính tích phân: ![]()
Câu 6 (1,0 điểm). Cho hình chóp S.ABCD có đáy ABCD là hình chữ nhật với AB = a, AD = 2a, SA ⊥ (ABCD) và SA = a. Tính theo a thể tích của khối chóp S.ABCD và khoảng cách từ A đến mặt phẳng (SBM) với M là trung điểm của CD.
Câu 7 (1,0 điểm). Trong mp(Oxy), cho hình vuông ABCD. Gọi M là trung điểm BC, N trên CD sao cho CN = 2ND. Biết M(11/2; 1/2) và đường thẳng AN có phương trình: 2x - y - 3 = 0. Tìm tọa độ đỉnh A.
Câu 8 (1,0 điểm). Trong không gian với hệ tọa độ Oxyz, cho hai điểm A(0; 0; -3), B(2; 0; -1) và mặt phẳng (P): 3x - y - z + 1 = 0. Viết phương trình mặt cầu (S) có tâm nằm trên đường thẳng AB, bán kính bằng 2√11 và tiếp xúc với mặt phẳng (P).
Câu 9 (0,5 điểm). Từ các chữ số 1; 2; 3; 4; 5 có thể lập được bao nhiêu số tự nhiên có năm chữ số, trong đó chữ số 3 có mặt đúng ba lần, các chữ số còn lại có mặt không quá một lần. Trong các số tự nhiên nói trên, chọn ngẫu nhiên một số, tìm xác suất để số được chọn chia hết cho 3.
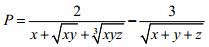
Câu 10 (1,0 điểm). Cho x, y, z là các số thực dương. Tìm giá trị nhỏ nhất của biểu thức:
![]()
Đáp án đề thi thử THPT Quốc gia năm 2016 môn Toán




