Đề thi thử THPT Quốc gia năm 2016 môn Toán trường THPT Quỳnh Lưu 3, Nghệ An (Lần 1)
Đề thi thử THPT Quốc gia năm 2016 môn Toán
Đề thi thử THPT Quốc gia năm 2016 môn Toán trường THPT Quỳnh Lưu 3, Nghệ An (Lần 1) là đề thi thử đại học môn Toán dành cho các bạn học sinh và thầy cô tham khảo, nghiên cứu đề, bổ sung thêm tài liệu ôn thi THPT Quốc gia môn Toán, chuẩn bị tốt nhất cho các kì thi sắp tới.
Đề thi thử THPT Quốc gia năm 2016 môn Toán trường THPT Chuyên Đại học Sư phạm Hà Nội (Lần 2)
Đề thi thử THPT Quốc gia năm 2016 môn Toán trường THPT Đa Phúc, Hà Nội (Lần 2)
|
SỞ GD&ĐT NGHỆ AN Trường PTTH Quỳnh Lưu 3
|
ĐỀ THI THỬ THPT QUỐC GIA LẦN 1 NĂM HỌC 2015 – 2016. Môn: Toán. Thời gian làm bài 180 phút |
Câu 1 (1,0 điểm). Khảo sát sự biến thiên và vẽ đồ thị hàm số y = x3 - 3x2 + 1.
Câu 2 (1,0 điểm). Tìm giá trị lớn nhất, giá trị nhỏ nhất của hàm số y = x - 2lnx trên [1; e].
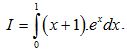
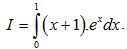
Câu 3 (1,0 điểm). Tính tích phân sau: ![]()
Câu 4 (1,0 điểm).
a) Gọi z1, z2 là hai nghiệm của phương trình z2 - 2z + 5 = 0 trên tập số phức. Hãy tính giá trị của biểu thức A = |z1|2+ |z2|2.
b) Giải phương trình: log3(x + 1) = log√3(5 - x).
Câu 5 (1,0 điểm). Trong không gian với hệ tọa độ Oxyz, cho điểm và mặt phẳng (P): x + 2y + 2z - 4 = 0. Viết phương trình mặt cầu (S) tâm I và tiếp xúc với (P). Tìm tọa độ hình chiếu của I trên (P).
Câu 6 (1,0 điểm).
a) Cho π/2 < α < π, sinα = 1/3. Tính giá trị của biểu thức P = sin2α + cos2α.
b) Năm học 2015 – 2016 trường THPT Quỳnh Lưu 3 có 39 lớp được chia đều cho ba khối ( khối 10, 11, 12), mỗi khối gồm 13 lớp. Đoàn trường lấy ngẫu nhiên 4 lớp để tổ chức lễ ra quân làm lao động vệ sinh môi trường cho địa phương vào Tháng thanh niên. Tính xác suất để các lớp được chọn có trong cả ba khối.
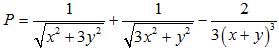
Câu 7 (1,0 điểm). Cho hình chóp S.ABCD có đáy ABCD là hình vuông cạnh 2a. Hình chiếu đỉnh S lên mặt đáy là trung điểm H của đoạn thẳng AB. Biết góc hợp bởi SC và mặt đáy là 45o.
a) Tính thể tích khối chóp S.ABCD.
b) Tính khoảng cách giữa hai đường thẳng BD và SC.
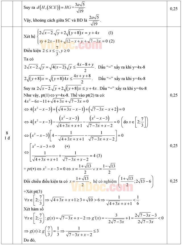
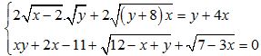
Câu 8 (1,0 điểm). Giải hệ phương trình
.
Câu 9 (1,0 điểm). Trong mặt phẳng với hệ tọa độ Oxy, cho tam giác ABC có đường tròn nội tiếp tiếp xúc với các cạnh BC, CA, AB lần lượt tại các điểm D, E, F. Tìm tọa độ các đỉnh của tam giác ABC biết D(3;1), trung điểm của BC là M(4;2), phương trình EF: 3x - y - 2 = 0 và B có hoành độ bé hơn 4.
Câu 10 (1,0 điểm). Cho các số dương x, y. Tìm giá trị lớn nhất của biểu thức:

Đáp án đề thi thử THPT Quốc gia năm 2016 môn Toán





