Đề thi thử THPT Quốc gia năm 2016 môn Toán trường THPT Trần Hưng Đạo, TP. Hồ Chí Minh (Lần 1)
Đề thi thử THPT Quốc gia năm 2016 môn Toán
Đề thi thử THPT Quốc gia năm 2016 môn Toán trường THPT Trần Hưng Đạo, TP. Hồ Chí Minh (Lần 1) được VnDoc.com sưu tầm và đăng tải, là tài liệu ôn tập môn Toán hữu ích dành cho các bạn học sinh lớp 12 chuẩn bị bước vào kì thi đặc biệt quan trọng: kì thi THPT Quốc gia 2016. VnDoc.com hy vọng các bạn sẽ luyện tập tốt và có kết quả cao trong bài thi môn Toán. Mời các bạn tham khảo.
Đề thi thử THPT Quốc gia năm 2016 môn Toán trường THPT Trần Hưng Đạo, Đăk Nông (Lần 1)
Đề thi thử THPT Quốc gia năm 2016 môn Toán trường THPT Chuyên Nguyễn Huệ, Hà Nội (Lần 1)
| SỞ GD & ĐT TP. HỒ CHÍ MINH TRƯỜNG THPT TRẦN HƯNG ĐẠO |
ĐỀ THI THỬ THPT LẦN I- NĂM HỌC 2015-2016 MÔN TOÁN Ngày thi: 13/10/2015 Thời gian làm bài: 180 phút |
Bài 1: (2đ) Cho hàm số: y = x3 + 3x2 - 4.
a) Khảo sát sự biến thiên và vẽ đồ thị (C) của hàm số
b) Viết phương trình tiếp tuyến của (C) biết tiếp tuyến có hệ số góc k = -9.
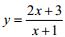
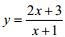
Bài 2: (1đ) Cho hàm số
có đồ thị (C). Gọi (d) là đường thẳng qua H(3,3) và có hệ số góc k. Tìm k để (d) cắt (C) tại 2 điểm phân biệt M,N sao cho tam giác MAN vuông tại A(2,1)
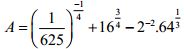
Bài 3: (1đ)
a) Tính ![]()
b) Rút gọn biểu thức: ![]()
Bài 4: (3đ) Cho hình vuông ABCD cạnh 4a. Lấy H, K lần lượt trên AB, AD sao cho BH = 3HA, AK = 3KD. Trên đường thẳng vuông góc với mặt phẳng ABCD tại H lấy S sao cho góc SBH = 30o. Gọi E là giao điểm của CH và BK.
a) Tính VS.ABCD.
b) Tính VS.BHKC và d(D,(SBH)).
c) Tính cosin góc giữa SE và BC.
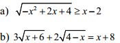
Bài 5: 2đ) Giải phương trình và bất phương trình sau

Bài 6: (1đ) Cho 2 số thực x,y thay đổi thỏa mãn x2 + y2 = 2. Tìm giá trị lớn nhất và giá trị nhỏ nhất của biểu thức:
P = 2(x3 + y3) - 3xy
Đáp án đề thi thử THPT Quốc gia năm 2016 môn Toán

