Đề thi thử THPT Quốc gia năm 2016 môn Toán trường THPT Trần Phú, Hà Tĩnh (Lần 1)
Đề thi thử THPT Quốc gia môn Toán năm 2016
Đề thi thử THPT Quốc gia năm 2016 môn Toán trường THPT Trần Phú, Hà Tĩnh (Lần 1) có 9 câu hỏi và đáp án đi kèm, là tài liệu ôn tập môn Toán hữu ích dành cho các bạn học sinh lớp 12, những bạn chuẩn bị bước vào kì thi THPT Quốc gia, luyện thi Đại học, Cao đẳng 2016. Mời các bạn tham khảo.
Đề thi thử THPT Quốc gia năm 2016 môn Toán trường THPT Phú Nhuận, TP. Hồ Chí Minh
Đề thi thử THPT Quốc gia môn Toán trường THPT Thống Nhất, Bình Phước năm 2015
Đề thi thử THPT Quốc gia năm 2016 môn Toán trường THPT Hàn Thuyên, Bắc Ninh
|
SỞ GD & ĐT HÀ TĨNH TRƯỜNG THPT TRẦN PHÚ ĐỀ CHÍNH THỨC |
ĐỀ THI THỬ THPT QUỐC GIA LẦN 1 NĂM 2016 MÔN THI: TOÁN Thời gian làm bài: 180 phút, không kể thời gian phát đề |
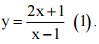
Câu 1 (2 điểm). Cho hàm số
![]()
a. Khảo sát và vẽ đồ thị (C) của hàm số (1).
b. Tìm điểm M trên (C) để khoảng cách từ M đến tiệm cận đứng bằng khoảng cách từ M đến trục Ox.
Câu 2 (1 điểm)

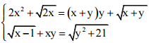
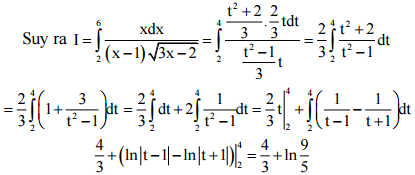
Câu 3. (1 điểm). Tính tích phân
![]()
Câu 4. (1 điểm).
![]()
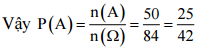
b. Một hộp đựng 9 viên bi trong đó có 4 viên bi màu đỏ, 5 viên bi màu xanh. Lấy ngẫu nhiên 3 viên bi. Tính xác suất để trong 3 viên bi lấy được có ít nhất 2 viên bi màu xanh.
Câu 5 (1 điểm). Cho hình chóp S.ABCD có đáy ABCD là hình vuông cạnh a. Gọi I là trung điểm AB, H là giao điểm của BD với IC. Các mặt phẳng (SBD) và (SIC) cùng vuông góc với đáy. Góc giữa (SAB) và (ABCD) bằng 60o. Tính thể tích khối chóp S.ABCD và khoảng cách giữa hai đường thẳng SA và IC.
Câu 6 (1 điểm). Trong mặt phẳng tọa độ Oxy, cho tam giác ABC vuông tại B, BC = 2BA. Gọi E, F lần lượt là trung điểm của BC, AC. Trên tia đối của tia FE lấy điểm M sao cho FM = 3FE. Biết điểm M có tọa độ (5;-1), đường thẳng AC có phương trình 2x + y - 3 = 0, điểm A có hoành độ là số nguyên. Xác định tọa độ các đỉnh của tam giác ABC.
Câu 7 (1 điểm). Trong không gian với hệ trục tọa độ Oxyz cho hai điểm A(1;-3;2), B(3;1;2). Viết phương trình mặt cầu đường kính AB. Tìm điểm I trên trục Oy sao cho IA = 21B.
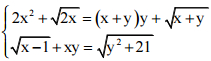
Câu 8 (1 điểm). Giải hệ phương trình

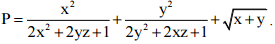
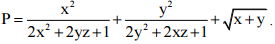
Câu 9 (1 điểm). Cho x, y, z là các số thực không âm thỏa mãn x2 + y2 + z2 = 1. Tìm giá trị lớn nhất của biểu thức
![]()
Đáp án đề thi thử THPT Quốc gia môn Toán năm 2016
Câu 1.a

Câu 1.b

Câu 2.a

Câu 2.b

Câu 3.

Câu 4.a

Câu 4.b
Gọi A là biến cố lấy được ít nhất 2 viên bi xanh.
Trường hợp 1. Trong 3 viên bi lấy được có 2 viên bi xanh, 1 viên bi đỏ, có C25.C14 = 40 cách.
Suy ra n(A) = C25.C14 + C35 = 50
![]()
(Còn tiếp)