Đề thi thử THPT Quốc gia năm 2016 môn Toán trường THPT Việt Trì, Phú Thọ (Lần 3)
Đề thi thử THPT Quốc gia năm 2016 môn Toán
Đề thi thử THPT Quốc gia năm 2016 môn Toán trường THPT Việt Trì, Phú Thọ (Lần 3) có đáp án là đề thi thử đại học môn Toán hữu ích dành cho các bạn tham khảo, luyện đề. Hi vọng tài liệu này giúp các bạn tự ôn tập kiến thức, thử sức trước các kì thi quan trọng sắp tới hiệu quả hơn.
Đề thi thử THPT Quốc gia năm 2016 môn Toán trường THPT Việt Trì, Phú Thọ (Lần 1)
Đề thi thử THPT Quốc gia năm 2016 môn Toán trường THPT Thanh Chương 1, Nghệ An (Lần 1)
|
TRƯỜNG THPT VIỆT TRÌ
|
ĐỀ THI KHẢO SÁT CHẤT LƯỢNG KHỐI 12 LẦN 3 Môn: Toán Năm học 2015-2016 Thời gian làm bài 180 phút, không kể thời gian giao đề |
Câu 1 (1.0 điểm). Khảo sát sự biến thiên và vẽ đồ thị của hàm số y = x3 - 3x + 2.
Câu 2 (1.0 điểm). Trong tất cả các hình chữ nhật có chu vi là 60 cm. Tìm hình chữ nhật có diện tích lớn nhất.
Câu 3 (1.0 điểm).
a) Cho cos2α = 2/5. Tính giá trị biểu thức: P = sin4α + cos4α - 3sin2α.cos2α.
b) Giải phương trình sau: 1 + 6x = 7x.
Câu 4 (1.0 điểm).
a) Cho số phức z thỏa mãn: iz = 1 + 2i. Tìm mô đun của số phức
.
b) Đội văn nghệ nhà trường gồm có 6 học sinh khối 10, 5 học sinh khối 11 và 4 học sinh khối 12. chọn ngẫu nhiên 7 học sinh từ đội văn nghệ kể trên để biểu diễn văn nghệ trong lễ bế giảng. Tính xác suất để trong đội văn nghệ không có học sinh khối 12.
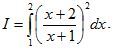
Câu 5 (1.0 điểm). Tính tích phân:
.
Câu 6 (1.0 điểm). Cho hình lăng trụ đứng ABC.A'B'C', có đáy là tam giác vuông, AB = AC = a, góc giữa hai mặt phẳng (A'BC) và mặt phẳng (ABC) bằng 60o. Tính thể tích của khối lăng trụ ABC.A'B'C' và khoảng cách giữa hai đường thẳng chéo nhau A'B và AC'.
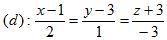
Câu 7 (1.0 điểm). Trong không gian với hệ trục tọa độ Oxyz. Cho đường thẳng
, mặt phẳng (P): 2x + y + z - 4 = 0. Xác định tọa độ giao điểm của đường thẳng (d) với mặt phẳng (P). Viết phương trình mặt cầu tâm I ∈ (d) tiếp xúc với mặt phẳng (P) và có bán kính bằng √6.
Câu 8 (1.0 điểm). Trong mặt phẳng với hệ tọa độ Oxy cho tam giác ABC nội tiếp trong đường tròn tâm I, có đỉnh A thuộc đường thẳng d: x + y - 2 = 0, D(2; -1) là chân đường cao của tam giác ABC hạ từ đỉnh A. Gọi điểm E(3; 1) là chân đường vuông góc hạ từ B xuống đoạn AI; điểm P(6; -1) thuộc đường thẳng AC. Tìm tọa độ các đỉnh của tam giác ABC.
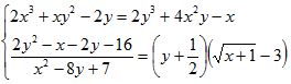
Câu 9 (1,0 điểm). Giải hệ phương trình sau trên tập số thực:

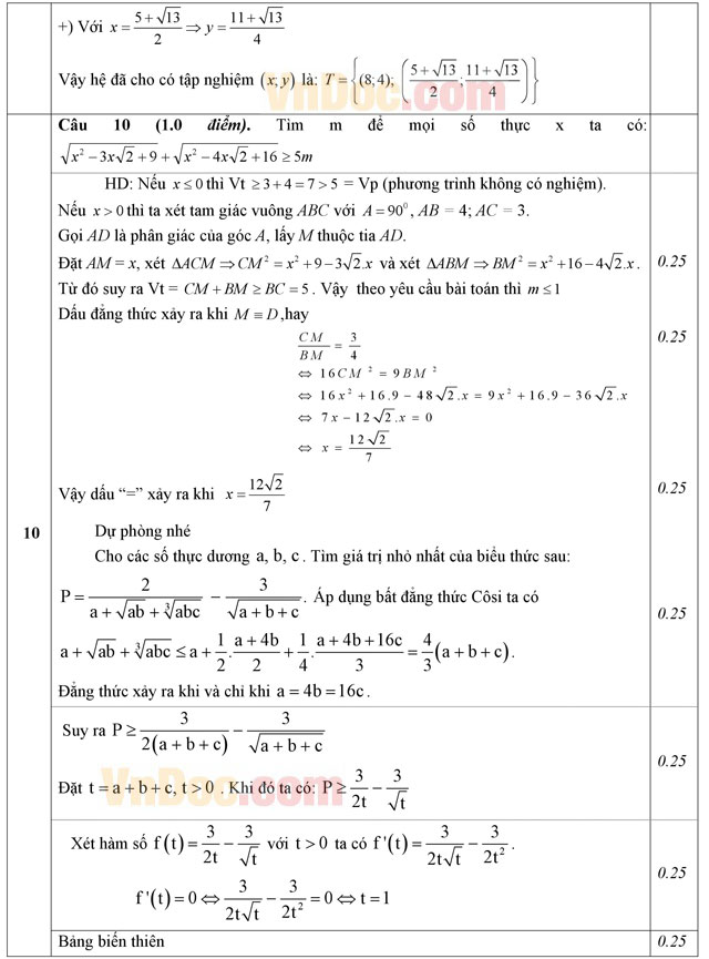
Câu 10 (1.0 điểm). Tìm m để mọi số thực x ta có:
.
Đáp án đề thi thử THPT Quốc gia năm 2016 môn Toán






