Đề thi thử THPT Quốc gia năm 2016 môn Vật lý trường THPT Hàn Thuyên, Bắc Ninh (Lần 1)
Đề thi thử THPT Quốc gia 2016 môn Vật lý
Đề thi thử THPT Quốc gia năm 2016 môn Vật lý trường THPT Hàn Thuyên, Bắc Ninh (Lần 1) được VnDoc.com sưu tầm và đăng tải, là tài liệu luyện thi THPT Quốc gia môn Vật lý (Vật lí) hữu ích, giúp các bạn củng cố và rèn luyện kỹ năng làm bài môn Hóa hiệu quả. Mời các bạn tham khảo.
Tài liệu ôn thi THPT Quốc gia năm 2016 môn Vật lý
41 chuyên đề luyện thi đại học Vật lý
|
SỞ GD&ĐT BẮC NINH TRƯỜNG THPT HÀN THUYÊN (Đề có 05.. trang) |
ĐỀ THI THỬ THPT QUỐC GIA LẦN 1NĂM HỌC 2015 - 2016 MÔN: ....VẬT LÝ... LỚP :.....12... Thời gian làm bài: 90 phút, không kể thời gian phát đề
|
Mã đề 132
Họ và tên thí sinh :............................................................... Số báo danh : ...................

Câu 2: Một vật dao động điều hòa với chu kỳ T thì pha của dao động
A. Biến thiên điều hòa theo thời gian.
B. Là hàm bậc nhất với thời gian.
C. Không đổi theo thời gian.
D. Là hàm bậc hai của thời
Câu 3: Khi nói về sóng điện từ, phát biểu nào sau đây là sai?
A. Sóng điện từ không truyền được trong chân không
B. Sóng điện từ là sóng ngang
C. Sóng điện từ mang năng lượng.
D. Sóng điện từ tuân theo các quy luật giao thoa, nhiễu xạ.

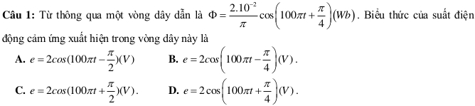
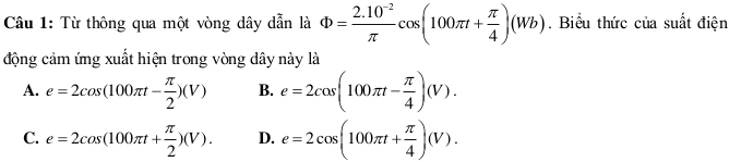
Câu 5: Một mạch dao động LC lí tưởng đang thực hiện dao động điện từ tự do. Biết điện tích cực đại trên tụ √2.10-9 (C) và cường độ dòng điện hiệu dụng là 1 (mA). Thời gian ngắn nhất từ lúc năng lượng điện trường bằng 1/3 lần năng lượng từ trường đến khi năng lượng điện trường bằng lần năng lượng từ trường là
![]()
Câu 6: Cho phản ứng hạt nhân: D + Li → N + X. Biết động năng của các hạt D, Li, n, X tương ứng là: 4MeV; 0; 12MeV; và 6MeV.
A. Phản ứng thu năng lượng là 13MeV.
B. Phản ứng toả năng lượng 14MeV.
C. Phản ứng thu năng lượng 14MeV.
D. Phản ứng toả năng lượng 13MeV
Câu 7: Để xác định chu kì dao động của một con lắc lò xo, ba bạn Hoa, Huệ và Lan đều dùng đồng hồ bấm giây giống nhau nhưng cách làm thì khác nhau. Hoa chỉ cần đo nửa chu kì dao động, Huệ đo đúng một chu kì dao động, Lan đo 4 chu kì dao động liên tiếp. Hỏi cách làm của bạn nào là chính xác và khoa học nhất
A. Ba cách giống nhau
B. Huệ.
C. Hoa.
D. Lan
Câu 8: Đặt điện áp xoay chiều vào hai đầu đoạn mạch gồm điện trở thuần 40 Ω và tụ điện mắc nối tiếp. Biết điện áp giữa hai đầu đoạn mạch lệch pha π/3 so với cường độ dòng điện trong đoạn mạch. Dung kháng của tụ điện bằng
![]()
(Còn tiếp)
Đáp án đề thi thử THPT Quốc gia môn Vật lý năm 2016
|
1. B 2. B 3. A 4. C 5. D 6. B 7. D 8. A 9. A 10. C |
11. C 12. C 13. A 14. A 15. C 16. D 17. C 18. A 19. D 20. B |
21. D 22. A 23. B 24. B 25. D 26. D 27. A 28. B 29. C 30. A |
31. D 32. C 33. C 34. B 35. B 36. D 37. C 38. D 39. C 40. A |
41. C 42. B 43. B 44. D 45. D 46. B 47. A 48. C 49. B 50. C |