Giao diện mới của VnDoc Pro: Dễ sử dụng hơn - chỉ tập trung vào lớp bạn quan tâm. Vui lòng chọn lớp mà bạn quan tâm: Lưu và trải nghiệm
Đóng
Điểm danh hàng ngày
  • Hôm nay +3
  • Ngày 2 +3
  • Ngày 3 +3
  • Ngày 4 +3
  • Ngày 5 +3
  • Ngày 6 +3
  • Ngày 7 +5
Bạn đã điểm danh Hôm nay và nhận 3 điểm!
Nhắn tin Zalo VNDOC để nhận tư vấn mua gói Thành viên hoặc tải tài liệu Hotline hỗ trợ: 0936 120 169

Đề thi thử THPT Quốc gia năm 2016 môn Vật lý trường THPT Yên Thế, Bắc Giang (Lần 3)

Loại File: Word + PDF
Phân loại: Tài liệu Tính phí

Đề thi thử THPT Quốc gia năm 2016 môn Vật lý

Đề thi thử THPT Quốc gia năm 2016 môn Vật lý trường THPT Yên Thế, Bắc Giang (Lần 3) có đáp án đi kèm, là tài liệu ôn tập môn Lý hữu ích dành cho các bạn học sinh lớp 12, những bạn chuẩn bị bước vào kì thi THPT Quốc gia, luyện thi Đại học hiệu quả. Mời các bạn cùng tham khảo.

Đề thi thử THPT Quốc gia năm 2016 môn Toán trường THPT Yên Thế, Bắc Giang (Lần 3)

Đề thi thử THPT Quốc gia năm 2016 môn Hóa học trường THPT Yên Thế, Bắc Giang (Lần 3)

TRƯỜNG THPT YÊN THẾ

ĐỀ THI THỬ ĐẠI HỌC LẦN 3 NĂM HỌC 2015 - 2016

MÔN: VẬT LÍ 12

THỜI GIAN LÀM BÀI 90 PHÚT (50 CÂU TN)

MÃ ĐỀ 143

Câu 1: Một con lắc lò xo treo thẳng đứng gồm vật nhỏ khối lượng m = 250 g và một lò xo nhẹ có độ cứng k = 100 N/m. Kéo vật m xuống dưới theo phương thẳng đứng đến vị trí lò xo giãn 7,5 cm thì thả nhẹ. Gọi t = 0 là lúc thả. Lấy g = 10 m/s2. Lực đàn hồi của vật lúc t = π/60 s là

A. 2,5 N. B. 5 N. C. 0. D. 3,2 N.

Câu 2: Đặt điện áp xoay chiều vào hai đầu đoạn mạch RLC nối tiếp, cuộn dây thuần cảm có độ tự cảm L thay đổi được. Khi L = L1 = 2 mH và khi L = L2 = 3 mH thì điện áp hiệu dụng hai đầu cuộn cảm có giá trị bằng nhau. Để điện áp hiệu dụng hai đầu cuộn cảm đạt cực đại thì giá trị L là

A. 0,6 mH. B. 3,6 mH. C. 2,4 mH. D. 2,5 mH.

Câu 3: Hai nguồn phát sóng kết hợp A, B với AB = 16cm trên mặt thoáng chất lỏng, dao động theo phương trình uA = 5cos(30πt) mm; uB = 5cos(30πt + π/2) mm. Coi biên độ sóng không đổi, tốc độ sóng v = 60cm/s. Gọi O là trung điểm của AB, điểm đứng yên trên đoạn AB gần O nhất và xa O nhất cách O một đoạn tương ứng là

A. 0,25 cm; 7,75 cm. B. 0,5 cm; 7,5 cm. C. 1cm; 8 cm. D. 1 cm; 6,5 cm.

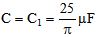
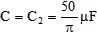
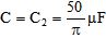
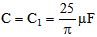
Câu 4: Cho mạch điện xoay chiều gồm cuộn dây có r, L và tụ C mắc nối tiếp. Tụ C thay đổi được. Mạch điện đặt vào điện áp xoay chiều có U không đổi, tần số f = 50 Hz. Khi Đề thi thử THPT Quốc gia môn Vật lý năm 2016Đề thi thử THPT Quốc gia môn Vật lý năm 2016 thì cường độ hiệu dụng trong mạch là như nhau. Để trong mạch có cộng hưởng thì điện dung C của tụ bằng

Đề thi thử THPT Quốc gia môn Vật lý năm 2016

Câu 5: Chọn đáp án không đúng.

A. Chu kì con lắc sẽ thay đổi khi khối lượng vật thay đổi.

B. Làm thí nghiệm để xác định chu kì con lắc đơn có chiều dài không đổi ở những nơi khác nhau thì có giá trị khác nhau.

C. Dùng con lắc đơn có chiều dài 50 cm sẽ cho kết quả gia tốc rơi tự do chính xác hơn so với con lắc đơn chiều dài 30 cm.

D. Với bộ thí nghiệm như trong SGK vật lí 12 cơ bản thì không thể đo chu kì con lắc đơn có chiều dài nhỏ hơn 10 cm.

Câu 6: Một máy phát điện xoay chiều một pha 2 cặp cực với 4 cuộn dây có suất điện động hiệu dụng 220 V, tần số 50 Hz. Biết từ thông cực đại qua mỗi vòng dây là 5 mWb. Vận tốc quay của rôto và số vòng dây của mỗi cuộn dây trong phần ứng là

A. 3000 vòng/phút và 49,5 vòng. B. 50 vòng/giây và 99 vòng.

C. 1500 vòng/ phút và 49,5 vòng. D. 25 vòng/giây và 99 vòng.

Câu 7: Số vòng dây của cuộn sơ cấp của một máy biến thế N1 = 1000. Nếu đặt vào hai đầu của cuộn sơ cấp một hiệu điện thế xoay chiều có hiệu điện thế hiệu dụng là 2 kV thì hiệu điện thế giữa hai đầu cuộn thứ cấp là 100 V. Số vòng dây của cuộn thứ cấp là

A. 200. B. 50. C. 500. D. 100.

Câu 8: Một nguồn âm S phát ra sóng âm truyền trong môi trường đẳng hướng. Khi đi từ A đến B nằm trên nửa đường thẳng xuất phát từ S thì mức cường độ âm giảm đi 20 dB. Cường độ âm tại trung điểm C của AB lớn hơn cường độ âm tại B là

A. 3,31 lần. B. 50 lần. C. 30,25 lần. D. 5,5 lần.

Câu 9: Trong một thí nghiệm về giao thoa sóng trên mặt nước, hai nguồn kết hợp A, B dao động với tần số f = 15 Hz và cùng pha. Tại một điểm M trên mặt nước cách A, B những khoảng d1 = 16 cm, d2 = 20 cm sóng có biên độ cực tiểu. Giữa M và đường trung trực của AB có hai dãy cực đại. Tốc độ truyền sóng trên mặt nước là

A. 24 cm/s. B. 36 cm/s. C. 20 cm/s. D. 48 cm/s.

Câu 10: Một mạch dao động LC gồm cuộn cảm có hệ số tự cảm L = 0,4 mH và tụ có điện dung C = 4 pF. Chu kì dao động riêng của mạch dao động là

A. 25,12μs. B. 2,512ns. C. 0,2513μs. D. 2,512ps.

Câu 11: Đặt điện áp xoay chiều với giá trị hiệu dụng U = 30 V vào hai đầu đoạn mạch R,L,C mắc nối tiếp có điện dung C thay đổi được. Khi điện áp hiệu dụng giữa hai đầu tụ điện đạt giá trị cực đại UCmax thì hiệu điện thế hiệu dụng hai đầu cuộn cảm là UL = 32 V. Giá trị UCmax

A. 25 V. B. 40 V. C. 18 V. D. 50 V.

Câu 12: Tìm câu sai trong các câu sau:

A. Các tải tiêu thụ được mắc theo kiểu tam giác có tính đối xứng tốt hơn so với mắc hình sao.

B. Trong cách mắc điện ba pha kiểu hình tam giác thì: Ud = Up.

C. Trong cách mắc hình sao dòng điện trong dây trung hoà luôn bằng 0.

D. Trong cách mắc điện ba pha kiểu hình sao thì: Ud = √3Up.

Câu 13: Một sóng cơ học lan truyền trên mặt thoáng chất lỏng nằm ngang với tần số 10 Hz, tốc độ truyền sóng 1,2 m/s. Hai điểm M và N thuộc mặt thoáng, trên cùng một phương truyền sóng, cách nhau 26 cm (M nằm gần nguồn sóng hơn). Tại thời điểm t, điểm N hạ xuống thấp nhất. Khoảng thời gian ngắn nhất sau đó điểm M hạ xuống thấp nhất là

A. 11/120 s B. 1/120 s C. 1/12 s D. 1/60 s

Câu 14: Một con lắc lò xo đặt nằm ngang gồm lò xo có độ cứng 18 N/m và vật nặng khối lượng 200 g. Đưa vật đến vị trí lò xo dãn 10 cm rồi thả nhẹ cho vật dao động điều hoà. Sau khi vật đi được 2 cm thì giữ cố định lò xo tại điểm cách đầu cố định một đoạn bằng 1/4 chiều dài của lò xo khi đó và vật tiếp tục dao động điều hòa với biên độ A1. Giá trị của A1

A. 2√21 cm . B. 2√15 cm. C. 3√7 cm D. 10 cm.

Câu 15: Sóng phản xạ

A. bị đổi dấu khi phản xạ trên một vật cản cố định.

B. luôn luôn không bị đổi dấu.

C. bị đổi dấu khi phản xạ trên một vật cản di động được.

D. luôn luôn bị đổi dấu.

(Còn tiếp)

Đáp án đề thi thử THPT Quốc gia năm 2016 môn Vật lý

Đáp án mã đề 143

1

B

11

D

21

D

31

B

41

D

2

C

12

C

22

B

32

C

42

D

3

B

13

D

23

D

33

A

43

D

4

B

14

C

24

D

34

A

44

B

5

A

15

A

25

C

35

A

45

D

6

C

16

D

26

B

36

B

46

D

7

B

17

A

27

A

37

A

47

B

8

B

18

A

28

D

38

D

48

C

9

C

19

A

29

A

39

B

49

A

10

C

20

B

30

C

40

C

50

C

Chọn file muốn tải về:
Đóng Chỉ thành viên VnDoc PRO/PROPLUS tải được nội dung này!
Đóng
79.000 / tháng
Đặc quyền các gói Thành viên
PRO
Phổ biến nhất
PRO+
Tải tài liệu Cao cấp 1 Lớp
30 lượt tải tài liệu
Xem nội dung bài viết
Trải nghiệm Không quảng cáo
Làm bài trắc nghiệm không giới hạn
Mua cả năm Tiết kiệm tới 48%
Xác thực tài khoản!

Theo Nghị định 147/2024/ND-CP, bạn cần xác thực tài khoản trước khi sử dụng tính năng này. Chúng tôi sẽ gửi mã xác thực qua SMS hoặc Zalo tới số điện thoại mà bạn nhập dưới đây:

Số điện thoại chưa đúng định dạng!
Số điện thoại này đã được xác thực!
Bạn có thể dùng Sđt này đăng nhập tại đây!
Lỗi gửi SMS, liên hệ Admin
Sắp xếp theo
🖼️

Thi THPT Quốc gia môn Vật Lý

Xem thêm
🖼️

Gợi ý cho bạn

Xem thêm