Đề thi thử vào lớp 10 môn Toán lần 1 năm học 2015-2016 trường THCS Tân Trường, Hải Dương
Đề thi thử vào lớp 10 môn Toán
Đề thi thử vào lớp 10 môn Toán lần 1 năm học 2015-2016 trường THCS Tân Trường, Hải Dương là đề thi thử môn Toán có đáp án giúp các em kiểm tra, hệ thống kiến thức môn Toán cũng như tham khảo các cách giải hay, rút kinh nghiệm trước khi vào kì thi tuyển sinh vào lớp 10 THPT sắp tới.
Đề thi thử vào lớp 10 môn Ngữ văn lần 1 năm học 2015-2016 trường THCS Tân Trường, Hải Dương
Tài liệu ôn thi vào lớp 10 môn Toán
Đề thi thử vào lớp 10 môn Toán năm học 2015-2016 trường THCS Văn Khê, Hà Nội
|
TRƯỜNG THCS TÂN TRƯỜNG ĐỀ THI THỬ LẦN I |
ĐỀ THI TUYỂN SINH LỚP 10 |
Câu 1 (2,0 điểm): Giải các phương trình:
a) 2x4- 7x2 – 4 = 0
![]()
Câu 2 (2,0 điểm)
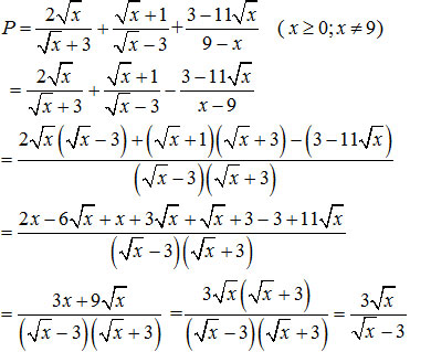
a) Rút gọn biểu thức:

b) Một phân xưởng theo kế hoạch phải may 1000 bộ quần áo trong thời gian quy định. Khi thực hiện, mỗi ngày xưởng may nhiều hơn 10 bộ và hoàn thành kế hoạch trước 5 ngày. Hỏi theo kế hoạch, mỗi ngày xưởng phải may bao nhiêu bộ quần áo?
Câu 3 (2,0 điểm)
| a. Cho hệ phương trình | { | 3x - y = 2m - 1 |
| x + 2y = 3m + 2 |
Tìm m để hệ có nghiệm (x;y) là tọa độ của điểm nằm trong góc phần tư thứ II của mặt phẳng tọa độ thỏa mãn 3x2+ y2 = 2.
b) Tìm m để phương trình x2 - 2x - 2m + 1= 0 có hai nghiệm x1; x2 thỏa mãn điều kiện x22(x12 - 1) + x12(x22 - 1) = 8.
Câu 4 (3,0 điểm)
Cho đường tròn (O) và dây BC cố định không qua tâm, điểm A chuyển động trên cung lớn BC sao cho tam giác ABC nhọn. Đường cao BE và CF của tam giác ABC cắt nhau tại H và cắt (O) lần lượt tại M và N.
a) Chứng minh tứ giác BCEF nội tiếp và MN // FE.
b) Vẽ đường cao AD của tam giác ABC. Chứng minh H là tâm đường tròn nội tếp tam giác DEF.
c) Đường thẳng qua A và vuông góc với EF luôn đi qua một điểm cố định.
Câu 5 (1,0 điểm)
Cho a, b, c là các số thực dương thỏa mãn điều kiện a2 + b2 + c2 = 3. Tìm giá trị lớn nhất của biểu thức A= ab + bc + ca + a + b + c.
Đáp án đề thi thử vào lớp 10 môn Toán
Câu 1 (2,0 điểm):
a) Giải phương trình: 2x4 - 7x2 – 4 = 0 (1)
Đặt x2 = t (t ≥ 0), phương trình (1) trở thành 2t2 - 7t - 4 = 0
Có = (-7)2 - 4.2.(-4) = 81 > 0
→ t1 = 4 (t/m); t2 = (7 - √81)/4 = (7 -9 )/4 = -1/2 (không t/m)
Với t = 4 → x2 = 4 ↔ x1,2 = ±2.
Vậy tập nghiệm của phương trình là S = ±2.
![]()
↔ |2x - 1| = 2015
| ↔ [ | 2x - 1 = 2015 | ↔ [ | 2x = 2016 | ↔ [ | x = 1008 |
| 2x - 1 = -2015 | 2x = -2014 | x = -1007 |
Vậy tập nghiệm của phương trình là S = {1008; -1007}
Câu 2 (2,0 điểm)
a) Rút gọn biểu thức:

b) Gọi số bộ quần áo may trong mỗi ngày theo kế hoạch là x (bộ), (x ϵ N*)
Số bộ quần áo thực tế mỗi ngày may được là x + 10 ( bộ)
Số ngày hoàn thành công việc theo kế hoạch là: 1000/x (ngày)
Số ngày thực tế đã may là: 1000/(x + 10) (ngày)
Theo bài ra ta có phương trình: 1000/x - 1000/(x + 10) = 5
Giải phương trình ta được x1 = 40 (thỏa mãn); x2 = -50 (loại)
Vậy theo kế hoạch mỗi ngày may được 40 bộ quần áo.