Đề thi thử vào lớp 10 môn Toán năm học 2015-2016 trường THCS Văn Khê, Hà Nội
Đề thi thử vào lớp 10 môn Toán
Đề thi thử vào lớp 10 môn Toán năm học 2015-2016 trường THCS Văn Khê, Hà Nội là đề thi thử môn Toán có đáp án giúp các em kiểm tra, hệ thống kiến thức môn Toán cũng như tham khảo các cách giải hay, rút kinh nghiệm trước khi vào kì thi tuyển sinh vào lớp 10 sắp tới.
Đề thi thử vào lớp 10 môn Tiếng Anh chuyên trường THPT Hà Nội - Amsterdam năm 2015
Đề thi thử vào lớp 10 môn Toán năm 2015 trường THPT Chuyên Hà Nội - Amsterdam
Đề thi thử vào lớp 10 môn Ngữ Văn năm 2015 trường THPT Chuyên Hà Nội - Amsterdam
|
TRƯỜNG THCS VĂN KHÊ
|
ĐỀ THI THỬ VÀO 10 THPT (Thời gian làm bài 120 phút) Năm học 2015 – 2016 |
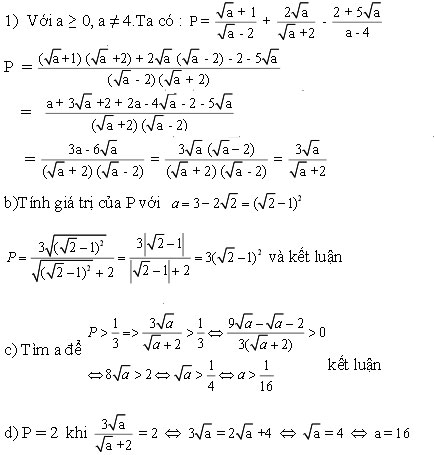
Bài 1: (2,5 điểm) Cho biểu thức

a) Rút gọn P.
b) Tính giá trị của P với a = 3 - 2√2.
c) Tìm a để P > 1/3.
d) Tìm a để P = 2.
Bài 2: (1,5 điểm) Cho phương trình: x2 – 2 (n – 1)x – n – 3 = 0 (1)
1) Giải phương trình với n = - 3
2) Tìm m để phương trình (1) có 2 nghiệm thoả mãn hệ thức x12 + x22 = 10.
3) Tìm hệ thức liên hệ giữa các nghiệm không phụ thuộc giá trị của n.
Bài 3: (2 điểm) Giải bài toán bằng cách lập phương trình hoặc hệ phương trình
Một đoàn xe cần vận chuyển một lượng hàng. Người lái xe tính rằng nếu xếp mỗi xe 15 tấn hàng thì còn thừa lại 5 tấn, còn nếu xếp mỗi xe 16 tấn thì có thể chở thêm 3 tấn nữa. Hỏi có mấy xe và phải chở bao nhiêu tấn hàng.
Bài 4: (3,5 điểm) Từ một điểm A nằm ngoài đường tròn (O; R) ta vẽ hai tiếp tuyến AB, AC với đường tròn (B, C là tiếp điểm). Trên cung nhỏ BC lấy một điểm M, vẽ MI ┴ AB, MK ┴ AC (I ϵ AB, K ϵ AC)
a) Chứng minh: AIMK là tứ giác nội tiếp đường tròn.
b) Vẽ MP ┴ BC (P ϵ BC). Chứng minh: góc MPK = góc MBC.
c) BM cắt PI; CM cắt IK tại E; F. Tứ giác BCFE là hình gì ?
d) Xác định vị trí của điểm M trên cung nhỏ BC để tích MI.MK.MP đạt giá trị lớn nhất.
Bài 5: (0,5 điểm) Giải phương trình.
![]()
Đáp án đề thi thử vào lớp 10 môn Toán
Bài 1: (2,5 điểm)

Bài 2: (1,5 điểm)
1) Với n = - 3 ta có phương trình: x2 + 8x = 0 x (x + 8) = 0
↔ x = 0 hoặc x = -8
2) Phương trình (1) có 2 nghiệm khi:
∆’ ≥ 0 ↔ (n - 1)2 + (n + 3) ≥ 0 ↔ n2 – 2n + 1 + n + 3 ≥ 0
n2 - n + 4 > 0 đúng với mọi n
Chứng tỏ phương trình có 2 nghiệm phân biệt với mọi m
Theo hệ thức Vi ét ta có: x1 + x2 = 2(n - 1) (1) và x1.x2 = -n - 3 (2)
Ta có x12 + x22 = 10 ↔ (x1 + x2)2 - 2x1x2 = 10 ↔ 4 (n - 1)2 + 2 (n + 3) = 10
↔ 4n2 – 6n + 10 = 10 ↔ 2n(2n - 3) = 0 ↔ n = 0 hoặc n = 3/2
3) Từ (2) ta có m = - x1x2 - 3 thế vào (1) ta có:
x1 + x2 = 2 (- x1x2 - 3 - 1) = - 2x1x2 - 8
x1 + x2 + 2x1x2 + 8 = 0
Đây là hệ thức liên hệ giữa các nghiệm không phụ thuộc n.