Đề thi thử vào lớp 10 môn Toán năm 2015 trường THPT Chuyên Hà Nội - Amsterdam
Đề thi thử vào lớp 10 môn Toán năm 2015 trường THPT Chuyên Hà Nội - Amsterdam là đề thi thử vào lớp 10 dành cho học sinh chuyên Toán - Tin, có đáp án kèm theo. Đây là tài liệu hữu ích giúp các em ôn thi vào lớp 10 các trường THPT chuyên trong cả nước. Chúc các em đạt kết quả tốt trong kì thi của mình.
Đề thi thử vào lớp 10 môn Ngữ Văn năm 2015 trường THPT Chuyên Hà Nội - Amsterdam
Đề thi thử vào lớp 10 môn Sinh học năm 2015 trường THPT Chuyên Hà Nội - Amsterdam
Đề thi thử vào lớp 10 môn Vật Lý năm 2015 trường THPT Chuyên Hà Nội - Amsterdam
Đề thi thử vào lớp 10 môn Hóa học năm 2015 trường THPT Chuyên Hà Nội - Amsterdam
Đề thi thử vào lớp 10 môn Toán
|
Trung tâm Bồi dưỡng Văn hóa |
ĐỀ THI THỬ VÀO LỚP 10 CHUYÊN |
Câu I (1,5 điểm)
Đơn giản biểu thức:
![]()
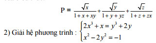
Câu II (2,5 điểm).
1) Cho x, y, z là các số dương thay đổi và thỏa mãn: xyz = 1. Tìm giá trị lớn nhất của biểu thức.

Câu III ( 2,5 điểm).
1) Cho a và b là các số nguyên dương khác nhau thỏa mãn: ab(a + b) chia hết cho (a2 + ab + b2). Chứng minh rằng:
![]()
2) Tìm tất cả các số nguyên (x; y) thỏa mãn phương trình: x2 + y2 = 3x + xy .
Câu IV (2,5 điểm).
Cho tam giác nhọn ABC và AB = AC = a. Dựng đường tròn (O, r) tiếp xúc với đường thẳng AB tại điểm B và tiếp xúc với đường thẳng AC tại điểm C. Gọi M là điểm tùy ý trên cung nhỏ BC của (O) và M khác B, M khác C. Gọi D, E, F lần lượt là hình chiếu vuông góc của M lên các đường thẳng AB, AC và BC.
1) Chứng minh tam giác MDF đồng dạng với tam giác MFE.
2) Xác định vị trí của M trên cung nhỏ BC để biểu thức 1/MD2 + 1/ME2 đạt giá trị nhỏ nhất. Tìm giá trị nhỏ nhất đó theo a và r.
Câu V (1 điểm).
Cho đa thức P(x) = x2 + ax + b, trong đó a và b là hai số nguyên dương cho trước và thỏa mãn a2 < 4b. Chứng minh rằng tồn tại hai số nguyên m, n sao cho: m > 2015, n > 2017 và P(m)/P(n) = P(2015)/P(2017).
Đáp án đề thi thử vào lớp 10 môn Toán
Câu I (1,5 điểm)

Câu II (2,5 điểm)
1. 1,5 điểm

2. 1 điểm

Suy ra x = y hoặc x = y =0
- Thay y = x vào PT(2) có x = 1, x = -1.
- Nghiệm của hệ x y = = ±1.