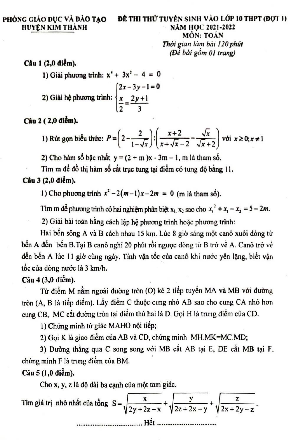
Đề thi thử vào lớp 10 môn Toán lần 1 phòng GD&ĐT Kim Thành, Hải Dương năm học 2022-2023

Đề thi tuyển sinh lớp 10 môn Toán lần 1 phòng GD&ĐT Kim Thành, Hải Dương năm học 2022-2023
Đề thi thử vào lớp 10 môn Toán lần 1 phòng GD&ĐT Kim Thành, Hải Dương năm học 2022-2023 vừa được VnDoc.com sưu tầm và xin gửi tới bạn đọc cùng tham khảo. Hi vọng qua bài viết này bạn đọc có thêm nhiều tài liệu để ôn tập thật tốt cho kì thi tuyển sinh vào lớp 10 sắp tới nhé. Mời các bạn cùng tham khảo chi tiết và tải về bài viết dưới đây.
- Đề thi thử vào lớp 10 môn Toán lần 3 trường THCS Ái Mộ, Hà Nội năm học 2022-2023
- Đề thi thử vào lớp 10 môn Toán phòng GD&ĐT Nghi Lộc, Nghệ An năm học 2022-2023
Đề thi thử vào lớp 10 môn Toán lần 1 phòng GD&ĐT Kim Thành, Hải Dương năm học 2022-2023 được biên soạn theo cáu trúc đề thi tự luận. Đề thi được tổng hợp gồm có 5 câu hỏi tự luận. Thí sinh làm bài trong thời gian 120 phút. Nội dung kiến thức có trong chương trình học lớp 9 như giải phương trình, giải hệ phương trình, rút gọn biểu thức...
Trên đây VnDoc.com vừa gửi tới bạn đọc bài viết Đề thi thử vào lớp 10 môn Toán lần 1 phòng GD&ĐT Kim Thành, Hải Dương năm học 2022-2023. Chắc hẳn qua bài viết bạn đọc đã nắm được những ý chính cũng như trau dồi được nội dung kiến thức của đề thi rồi đúng không ạ? Mong rằng qua bài viết này bạn đọc có thêm nhiều tài liệu để học tập tốt hơn môn Toán lớp 9. Mời các bạn cùng tham khảo thêm tài liệu học tập các môn Ngữ văn lớp 9, Tiếng Anh lớp 9...