Đề thi thử vào lớp 10 môn Toán lần 4 năm học 2015-2016 trường THPT Chuyên Nguyễn Huệ, Hà Nội
Đề thi thử vào lớp 10 môn Toán
Đề thi thử vào lớp 10 môn Toán lần 4 năm học 2015-2016 trường THPT Chuyên Nguyễn Huệ, Hà Nội là đề thi thử tuyển sinh vào lớp 10 môn Toán có đáp án kèm theo. Đây là tài liệu hay và có chất lượng dành cho các bạn luyện đề, ôn thi vào lớp 10 THPT hiệu quả.
Đề thi thử vào lớp 10 môn Toán thành phố Hà Nội năm học 2015-2016
Đề thi thử vào lớp 10 môn Ngữ văn (điều kiện) lần 4 năm 2015 trường THPT Chuyên Nguyễn Huệ, Hà Nội
|
TRƯỜNG THPT CHUYÊN
|
ĐỀ THI THỬ TUYỂN SINH LỚP 10 THPT LẦN 4 Năm học: 2015-2016 MÔN: TOÁN Đề có một trang, gồm 5 câu. (Thời gian làm bài 120 phút, không kể thời gian giao đề) |
Câu I: (2,5 điểm) Cho

- Tính giá trị của A khi x = 57 - 24√3
- Rút gọn B.
- Tìm x є Z để A:B є Z.
Câu II: (1,5 điểm) Cho 2 đường thẳng: d1: y = mx + 2
d2: y = (m - 2)x + 4
- Tìm m để d1 ┴ d2
- Vẽ đồ thị của 2 hàm số trên với m vừa tìm được
- Tính diện tích của tam giác tạo bởi 2 đường thẳng và trục Ox khi d1 ┴ d2 (đơn vị trên các trục tọa độ là cm)
Câu III: (2,0 điểm)
Hai người đi xe đạp cùng xuất phát từ A đến B với vận tốc như nhau. Sau khi đi được 2/3 quãng đường thì người thứ nhất bị hỏng xe nên phải nghỉ 30 phút rồi bắt xe ô tô để quay về A. Người thứ hai đi tiếp đến B rồi quay về A, thì người thứ nhất đã quay về A trước đó 1 giờ 40 phút. Tính vận tốc của xe đạp biết rằng quãng đường AB dài 30km và vận tốc ô tô hơn vận tốc xe đạp 25km/h.
Câu IV: (3,5 điểm)
Cho đường tròn (O) đường kính AB. Trên tia đối của tia BA lấy điểm C (C không trùng với B). Kẻ tiếp tuyến CD với đường tròn (O) (D là tiếp điểm), tiếp tuyến tại A của đường tròn (O) cắt đường thẳng CD tại E. Gọi H là giao điểm của AD và OE, K là giao điểm của BE với đường tròn (O) (K ≠ B).
- Chứng minh AE2 = EK . EB.
- Chứng minh 4 điểm B, O, H, K cùng thuộc một đường tròn.
- Tính diện tích tứ giác AODE trong trường hợp góc ACE = 30o.
- Đường thẳng vuông góc với AB tại O cắt CE tại M. Chứng minh AE/EM - EM/CM = 1.
Câu V: (0.5 điểm)
Cho a, b, c > 0 thỏa mãn 3a2 + 4b2≤ 7c2. CMR: 3/a + 4/b ≤ 7/c.
Đáp án đề thi thử vào lớp 10 môn Toán
Câu I: (2,5 điểm)
1. 0,75 điểm
Tính x = 57 - 24√3 = (4√3 - 3)2 → x = 4√3 - 3
Thay vào A ta có:

2. 0,75 điểm
ĐK: x ≥ 0; x ≠ 4

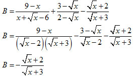
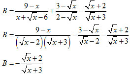
3. 1,0 điểm
Ta có:
![]()
Để A:B є Z thì √2 + 3 là ước của 3
Do đó √2 + 3 = ±1; ±3
Giải các phương trình trên, kết hợp với ĐK thu được x = 1.
Câu II: (1,5 điểm)
1. 0,5 điểm
d1 ┴ d2 ↔ (m - 2) = -1 ↔ m = 1.
2. 0,5 điểm
Vẽ chính xác đồ thị của hai đường thẳng trên khi m = 1
d1: y = x + 2
d2: y = - x + 4
3. 0,5 điểm
Xác định giao điểm của d1 với trục Ox là A(- 2; 0)
Xác định giao điểm của d2 với trục Ox là B(4; 0)
Xác định giao điểm của d1 và d2 là C(1; 3)
Diện tích tam giác ABC là: 9 cm2