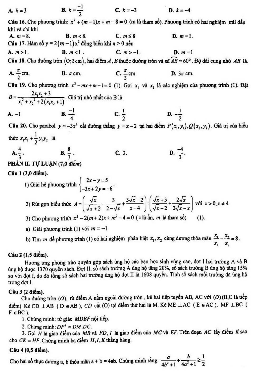
Đề thi thử vào lớp 10 môn Toán phòng GD&ĐT Lục Nam, Bắc Giang năm học 2022-2023


Đề thi thử vào lớp 10 môn Toán phòng GD&ĐT Lục Nam, Bắc Giang năm 2022
Đề thi thử vào lớp 10 môn Toán phòng GD&ĐT Lục Nam, Bắc Giang năm học 2022-2023 vừa được VnDoc.com biên soạn và xin gửi tới bạn đọc cùng tham khảo. Hi vọng qua bài viết này bạn đọc có thêm nhiều tài liệu để ôn tập thật tốt cho kì thi vào lớp 10 sắp tới nhé. Mời các bạn cùng tham khảo chi tiết và tải về bài viết dưới đây nhé.
- Đề thi thử vào lớp 10 môn Toán lần 1 trường Lương Thế Vinh, Hà Nội năm học 2022-2023
- Đề thi thử vào lớp 10 môn Toán trường THCS Dịch Vọng, Hà Nội năm học 2022-2023
Đề thi thử vào lớp 10 môn Toán phòng GD&ĐT Lục Nam, Bắc Giang năm học 2022-2023 được biên soạn gồm có 2 phần trắc nghiệm và tự luận. Đề gồm có 20 câu hỏi trắc nghiệm và 4 câu hỏi tự luận. Thí sinh làm bài trong thời gian 120 phút. Đề được tổng hợp nội dung kiến thức học trong chương trình lớp 9.
Trên đây VnDoc.com vừa gửi tới bạn đọc bài viết Đề thi thử vào lớp 10 môn Toán phòng GD&ĐT Lục Nam, Bắc Giang năm học 2022-2023. Chắc hẳn qua bài viết bạn đọc đã nắm được những ý chính cũng như trau dồi được nội dung kiến thức của bài học rồi đúng không ạ? Mong rằng qua bài viết này bạn đọc có thêm nhiều tài liệu để học tập tốt hơn môn Toán lớp 9 nhé. Mời các bạn cùng tham khảo thêm các môn Ngữ văn lớp 9, Tiếng Anh lớp 9...