Đề thi thử vào lớp 10 môn Toán Phòng GD&ĐT Hàm Yên, Tuyên Quang năm học 2017 - 2018
Đề thi thử vào lớp 10 môn Toán
Nếu bạn đang chuẩn bị cho kì thi tuyển vào lớp 10 thì đừng bỏ qua: Đề thi thử vào lớp 10 môn Toán Phòng GD&ĐT Hàm Yên, Tuyên Quang năm học 2017 - 2018. Hi vọng rằng, thông qua việc giải trực tiếp các đề thi này, các bạn sẽ làm quen dần với cấu trúc đề thi, luyện giải nhiều các dạng bài tập và các câu hỏi lý thuyết.
Đề thi thử vào lớp 10 môn Toán Sở GD&ĐT Tuyên Quang năm học 2017 - 2018
Đề thi thử vào lớp 10 môn Toán Phòng GD&ĐT Chiêm Hóa, Tuyên Quang năm học 2017 - 2018
| PHÒNG GD&ĐT HÀM YÊN | KỲ THI TUYỂN SINH VÀO LỚP 10 - THPT NĂM HỌC 2017 - 2018 MÔN THI: TOÁN Thời gian: 120 phút (không kể thời gian giao đề) (Đề có 01 trang) |
Câu 1 (2,0 điểm).
a) Xác định hệ số a, b, c và giải phương trình x2 - 7x + 12 = 0
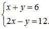
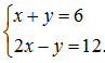
b) Giải hệ phương trình: 
Câu 2 (2,0 điểm).
a) Với giá trị nào của m thì hàm số y = (m - 1)x + 2 đồng biến trên R, nghịch biến trên R?
b) Vẽ đồ thị hàm số y = x2
Câu 3 (2,0 điểm). Một khu vườn hình chữ nhật có diện tích bằng 675m2 và có chu vi bằng 120m. Tính chiều dài và chiều rộng của khu vườn.
Câu 4 (3,5 điểm). Cho tứ giác ABCD nội tiếp nửa đường tròn đường kính AD. Hai đường chéo AC và BD cắt nhau tại E. Vẽ EF vuông góc với AD (F € AD), CF cắt đường tròn tại M. Chứng minh rằng:
a. Các tứ giác ABEF; DCEF nội tiếp đường tròn.
b. Tia CA là tia phân giác của góc ![]()
c. BM vuông góc AD
Câu 5 (0,5 điểm). Tìm giá trị nhỏ nhất của biểu thức:D = x2 + 4y2 - 2xy - 6y - 10(x - y) + 32
Đáp án đề thi thử vào lớp 10 môn Toán


