Đề thi thử vào lớp 10 THPT môn Toán phòng GD&ĐT Tây Hồ, Hà Nội năm 2016 - 2017
Đề thi thử vào lớp 10 THPT môn Toán
Đề thi thử vào lớp 10 THPT môn Toán phòng GD&ĐT Tây Hồ, Hà Nội năm 2016 - 2017 được VnDoc sưu tầm và đăng tải nhằm giúp các em học sinh có thêm nhiều tài liệu ôn thi vào lớp 10 môn Toán để tham khảo chuẩn bị tốt cho kì thi tuyển sinh sắp tới đây đạt kết quả cao. Mời các em cùng tham khảo.
Bộ đề thi vào lớp 10 THPT môn Ngữ văn năm học 2016 - 2017
Đề thi thử vào lớp 10 THPT môn Toán trường THCS Minh Nghĩa, Thanh Hóa năm 2016 - 2017
| PHÒNG GIÁO DỤC & ĐÀO TẠO QUẬN TÂY HỒ |
ĐỀ THI THỬ VÀO LỚP 10 NĂM: 2016 - 2017 Môn Toán - Thời gian: 120 phút |
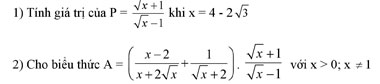
Bài 1 (2 điểm):

a) Rút gọn A.
b) Tìm giá trị của x để 2A = 2√x + 5
Bài 2 (2 điểm): Giải bài toán bằng cách lập phương trình hoặc hệ phương trình.
Một đội xe dự định chở 40 tấn hàng. Lúc sắp khởi hành, đội được giao thêm 14 tấn hàng nữa. Do đó phải điều thêm 2 xe cùng loại và mỗi xe phải chở thêm 0,5 tấn hàng so với dự định. Tính số xe dự định lúc ban đầu và số hàng chở thực tế của mỗi xe (biết mỗi xe đều chở số hàng như nhau và số xe ban đầu không quá 15 xe)
Bài 3 (2 điểm): Cho phương trình x2 – 2(m – 1)x – m – 3 = 0
a) Giải phương trình trên với m = - 3.
b) Tìm m để phương trình trên có hai nghiệm x1, x2 thỏa mãn x12 + x22 = 10
c) Tìm hệ thức liên hệ giữa các nghiệm mà không phụ thuộc giá trị của m.
Bài 4 (3,5 điểm): Cho nửa đường tròn (O) đường kính AB = 2R và dây cung AC. Gọi M là điểm chính giữa của cung AC. Đường thẳng kẻ từ C song song với BM cắt tia AM ở K và cắt tia OM ở D. Gọi H là giao điểm của OD và AC.
a) Chứng minh tứ giác CKMH nội tiếp.
b) Chứng minh CD = MB và DM = CB.
c) Xác định vị trí điểm C trên nửa đường tròn (O) để AD là tiếp tuyến của nửa đường tròn.
d) Trong trường hợp AD là tiếp tuyến của nửa đường tròn (O), tính diện tích phần tam giác ADC ở ngoài đường tròn (O) theo R.

Đáp án đề thi thử vào lớp 10 THPT môn Toán
Bộ đề thi vào lớp 10 THPT môn Toán năm học 2016 - 2017
Đề thi thử vào lớp 10 THPT môn Ngữ văn phòng GD&ĐT Tây Hồ, Hà Nội năm 2016 - 2017
Đề thi thử vào lớp 10 THPT môn Toán phòng GD&ĐT Vũ Thư, Thái Bình năm 2015 - 2016

