Đề thi thử vào lớp 10 THPT môn Toán phòng GD&ĐT Vũ Thư, Thái Bình năm 2015 - 2016
Đề thi thử vào lớp 10 THPT môn Toán
Đề thi thử vào lớp 10 THPT môn Toán phòng GD&ĐT Vũ Thư, Thái Bình năm 2015 - 2016 được VnDoc sưu tầm và đăng tải nhằm giúp các em học sinh có thêm nhiều tài liệu ôn thi vào lớp 10 môn Toán để tham khảo chuẩn bị tốt cho kì thi tuyển sinh sắp tới đây đạt kết quả cao. Mời các em cùng tham khảo.
Bộ đề thi vào lớp 10 THPT môn Toán năm học 2016 - 2017
Đề thi thử vào lớp 10 THPT môn Ngữ văn phòng GD&ĐT Yên Lạc, Vĩnh Phúc năm 2016 - 2017
| UBND HUYỆN VŨ THƯ PHÒNG GD&ĐT |
ĐỀ THI THỬ TUYỂN SINH THPT Năm học 2015-2016 MÔN THI: TOÁN (Thời gian làm bài: 120 phút) |
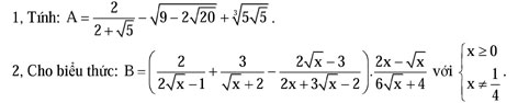
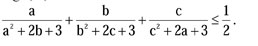
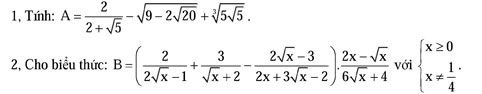
Bài 1 (2 điểm):

a, Rút gọn biểu thức B.
b, Tìm x sao cho B nhận giá trị nguyên.
Bài 2 (2 điểm):
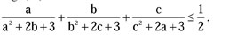
1, Cho hệ phương trình: ![]()
a, Giải hệ phương trình với m = 4.
b, Chứng minh rằng với mọi m hệ luôn có nghiệm duy nhất(x; y). Tìm m sao cho P= xy + x + 2y đạt giá trị lớn nhất.
2, Giải phương trình: x4 + (2√2 - 1)x2 + 4√2 - 6 = 0.
Bài 3 (2 điểm):
Cho hàm số: y = x2 (P) và y = 2(m -3)x + m - 9, m là tham số, m ∈ R.
1, Tìm m sao cho (d) là hàm số bậc nhất đồng biến.
2, Tìm m sao cho đồ thị(P) và (d) tiếp xúc nhau, tìm tiếp điểm.
3, Tìm m sao cho đồ thị (P) và (d)cắt nhau tại hai điểm phân biệt có hoành độ âm.
Bài 4 (3,5 điểm):
Cho đường tròn tâm O và điểm A nằm ngoài đường tròn, từ A kẻ các tiếp tuyến AB, AC đến đường tròn (B, C là các tiếp điểm). M là điểm bất kì trên cung nhỏ BC, (M khác B và C), gọi D, E, F là hình chiếu vuông góc của M lên BC, CA, AB. Giao điểm của MB với DF là P, của MC với DE là Q. Chứng minh rằng:
1, Các tứ giác MDBF và MDCE nội tiếp.
2, PQ // BC.
3, PQ là tiếp tuyến của đường tròn ngoại tiếp tam giác MQE.
4, Đường thẳng nối giao điểm của đường tròn ngoại tiếp tam giác MQE với đường tròn ngoại tiếp tam giác MPF đi qua 1 điểm cố định.
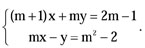
Bài 5 (0,5 điểm): Cho các số thực dương a, b, c thỏa mãn a2 + b2 + c2 = 3
Chứng minh rằng: ![]()
Đáp án đề thi thử vào lớp 10 THPT môn Toán
Bộ đề thi vào lớp 10 THPT môn Ngữ văn năm học 2016 - 2017
Đề thi thử vào lớp 10 THPT môn Toán trường THCS Tích Sơn, Vĩnh Yên năm 2016 - 2017



