Đề thi thử vào lớp 10 THPT môn Toán trường THCS Cồn Thoi, Kim Sơn năm 2016 - 2017
Đề thi thử vào lớp 10 THPT môn Toán
Đề thi thử vào lớp 10 THPT môn Toán trường THCS Cồn Thoi, Kim Sơn năm 2016 - 2017 được VnDoc sưu tầm và đăng tải nhằm giúp các em học sinh có thêm nhiều tài liệu ôn thi vào lớp 10 môn Toán để tham khảo chuẩn bị tốt cho kì thi tuyển sinh sắp tới đây đạt kết quả cao. Mời các em cùng tham khảo.
Bộ đề thi vào lớp 10 THPT môn Ngữ văn năm học 2016 - 2017
Đề thi thử vào lớp 10 lần 1 môn Toán năm học 2015-2016 trường THCS Lý Tự Trọng, Ninh Bình
| PHÒNG GD & ĐT KIM SƠN TRƯỜNG THCS CỒN THOI |
ĐỀ THI THỬ TUYỂN SINH VÀO LỚP 10 Năm học: 2016-2017 MÔN: TOÁN Thời gian làm bài: 120 phút (Đề này gồm 05 câu, 01 trang) |
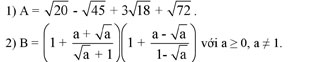
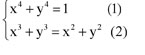
Câu 1: (2 điểm) Tính gọn biểu thức:

Câu 2: (3 điểm)
1) Cho hàm số y = ax2, biết đồ thị hàm số đi qua điểm A (- 2 ; -12). Tìm a.
2) Cho phương trình: x2 + 2 (m + 1)x + m2 = 0. (1)
a) Giải phương trình với m = 5
b) Tìm m để phương trình (1) có 2 nghiệm phân biệt, trong đó có 1 nghiệm bằng - 2.
Câu 3: (1 điểm) Một thửa ruộng hình chữ nhật, nếu tăng chiều dài thêm 2m, chiều rộng thêm 3m thì diện tích tăng thêm 100m2. Nếu giảm cả chiều dài và chiều rộng đi 2m thì diện tích giảm đi 68m2. Tính diện tích thửa ruộng đó.
Câu 4: (3.5 điểm) Cho tam giác ABC vuông ở A. Trên cạnh AC lấy 1 điểm M, dựng đường tròn tâm (O) có đường kính MC. Đường thẳng BM cắt đường tròn tâm (O) tại D, đường thẳng AD cắt đường tròn tâm (O) tại S.
a) Chứng minh tứ giác ABCD là tứ giác nội tiếp và CA là tia phân giác của góc ∠BSC.
b) Gọi E là giao điểm của BC với đường tròn (O). Chứng minh các đường thẳng BA, EM, CD đồng quy.
c) Chứng minh M là tâm đường tròn nội tiếp tam giác ADE.
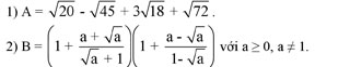
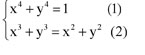
Câu 5: (0.5 điểm) Giải hệ phương trình:
Đáp án đề thi thử vào lớp 10 THPT môn Toán
Bộ đề thi vào lớp 10 THPT môn Toán năm học 2016 - 2017
Đề thi thử vào lớp 10 môn Toán Phòng GD&ĐT Hiệp Hòa, Bắc Giang năm học 2016 - 2017
Đề thi thử vào lớp 10 THPT môn Ngữ văn lần 4 trường THCS Đức Giang, Hà Nội năm 2015 - 2016


