Đề thi thử vào lớp 10 môn Toán Phòng GD&ĐT Hiệp Hòa, Bắc Giang năm học 2016 - 2017
Đề thi thử vào lớp 10 môn Toán
Đề thi thử vào lớp 10 môn Toán Phòng GD&ĐT Hiệp Hòa, Bắc Giang năm học 2016 - 2017 có đáp án được VnDoc.com sưu tầm và đăng tải nhằm giúp các em học sinh có thêm nhiều tài liệu ôn thi vào lớp 10 môn Toán hiệu quả. Mời các em cùng tham khảo.
Bộ đề thi vào lớp 10 THPT môn Toán năm học 2016 - 2017
Đề thi thử vào lớp 10 THPT môn Toán trường THCS Cao Dương, Hà Nội năm 2016 - 2017
|
PHÒNG GIÁO DỤC VÀ ĐÀO TẠO HIỆP HÒA
|
ĐỀ THI THỬ VÀO LỚP 10 TRUNG HỌC PHỔ THÔNG NĂM HỌC: 2016-2017 MÔN THI: TOÁN Ngày thi: 21/5/2016 Thời gian làm bài: 120 phút, không kể thời gian giao đề |
Câu I (3.0 điểm)
- Tính giá trị của biểu thức
. - Biết đường thẳng y = ax + b đi qua điểm M(2; 1/2) và song song với đường thẳng y = 3 - 2x. Tìm các hệ số a và b.
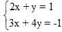
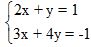
- Giải hệ phương trình:

Câu II (2.0 điểm)
- Rút gọn biểu thức
với x ≥ 0 và x ≠ 1. - Cho phương trình: x2 - (m + 1)x + m - 4 = 0 (1)
a) Giải phương trình (1) khi m = 1.
b) Tìm m để phương trình (1) có hai nghiệm x1, x2 là các kích thước của một hình chữ nhật có độ dài đường chéo bằng 6.
Câu III (1.5 điểm)
Khoảng cách giữa hai tỉnh A và B là 60km. Hai người đi xe đạp cùng khởi hành một lúc đi từ A đến B với vận tốc bằng nhau. Sau khi đi được 1 giờ thì xe của người thứ nhất bị hỏng nên phải dừng lại sửa xe 20 phút, còn người thứ hai tiếp tục đi với vận tốc ban đầu. Sau khi xe sửa xong, người thứ nhất đi với vận tốc nhanh hơn trước 4km/h nên đã đến B cùng lúc với người thứ hai. Tính vận tốc hai người đi lúc đầu.
Câu IV (3.0 điểm)
Cho đường tròn (O; R) với đường kính AB cố định, EF là đường kính di động. Đường thẳng (d) tiếp xúc với đường tròn (O) tại B. Nối AE, AF cắt đường thẳng d lần lượt tại M và N. Đường thẳng đi qua điểm A và vuông góc với EF tại điểm D cắt MN tại I.
a) Chứng minh bốn điểm O, D, I, B cùng nằm trên một đường tròn;
b) Chứng minh tứ giác AEBF là hình chữ nhật;
c) Chứng minh AE.AM = AF. AN;
d) Chứng minh I là trung điểm của MN;
e) Gọi H là trực tâm tam giác MFN. Chứng minh rằng khi đường thẳng EF di động, H luôn thuộc một đường tròn cố định.
Câu V (0.5 điểm)
Cho x, y, z là các số dương thoả mãn
.
Tìm giá trị lớn nhất của biểu thức: ![]()
Đáp án đề thi thử vào lớp 10 môn Toán



