Đề thi tuyển sinh lớp 10 THPT chuyên tỉnh Bắc Ninh năm 2012 - 2013
Để chuẩn bị cho kì thi vào cấp 3 sắp tới, Vndoc xin giới thiệu đến các bạn: Đề thi tuyển sinh lớp 10 THPT chuyên tỉnh Bắc Ninh năm 2012 - 2013.
Đề thi tuyển sinh lớp 10 trường chuyên tỉnh Bắc Ninh:
UBND TỈNH BẮC NINH
|
ĐỀ THI TUYỂN SINH VÀO LỚP 10 THPT CHUYÊN
|
Bài 1 (2,5 điểm)
1/ Rút gọn biểu thức sau: ![]()
2/ Giải phương trình: ![]()
Bài 2 (2,0 điểm)
1/ Cho ba số a, b, c thỏa mãn: 4a - 5b + 9c = 0. Chứng minh rằng phương trình ax2 + bx + c = 0 luôn có nghiệm.
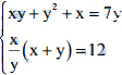
2/ Giải hệ phương trình: 
Bài 3 (1,5 điểm)
1/ Cho ba số dương a, b, c thỏa mãn: a + b + c = 1. Chứng minh rằng: (1 + a)(1 + b)(1 + c) ≥ 8(1 - a)(1 - b)(1 - c).
2/ Phân chia chín số: 1, 2, 3, 4, 5, 6, 7, 8, 9 thành ba nhóm tùy ý, mỗi nhóm ba số. Gọi T1 là tích ba số của nhóm thứ nhất, T2 là tích ba số của nhóm thứ hai, T3 là tích ba số của nhóm thứ ba. Hỏi tổng T1 + T2 + T3 có giá trị nhỏ nhất là bao nhiêu?
Bài 4 (2,5 điểm)
Cho đường tròn tâm O bán kính R và dây cung BC cố định khác đường kính. Gọi A là một điểm chuyển động trên cung lớn BC của đường tròn (O) sao cho tam giác ABC nhọn; AD, BE, CF là các đường cao của tam giác ABC. Các đường thẳng BE, CF tương ứng cắt (O) tại các điểm thứ hai là Q, R.
1/ Chứng minh rằng QR song song với EF.
2/ Chứng minh rằng diện tích tứ giác AEOF bằng ![]()
3/ Xác định vị trí của điểm A để chu vi tam giác DEF lớn nhất.
Bài 5 (1,5 điểm)
1/ Tìm hai số nguyên a, b để a4 + 4b4 là số nguyên tố.
2/ Hãy chia một tam giác bất kì thành 7 tam giác cân trong đó có 3 tam giác bằng nhau.