Đề thi Violympic Toán lớp 4 vòng 19 năm 2015 - 2016
Đề thi Violympic Toán lớp 4 vòng 19
Đề thi Violympic Toán lớp 4 vòng 19 năm 2015 - 2016 là đề thi giải Toán qua mạng có đáp án đi kèm, hi vọng giúp các em học sinh ôn tập và củng cố kiến thức, nhằm đạt kết quả cao trong các vòng tiếp theo của cuộc thi Violympic giải Toán qua mạng năm học 2016 - 2017.
Đề thi Violympic Toán lớp 4 vòng 17 năm 2015 - 2016
Đề thi Violympic Toán lớp 4 vòng 18 năm 2015 - 2016
Mời làm: Đề thi Violympic Toán lớp 4 vòng 19 năm 2015 - 2016 trực tuyến
Bài 1: Đỉnh núi trí tuệ
Câu 1: Một sân chơi hình chữ nhật, có chiều dài 48m, chiều rộng bằng 5/8 chiều dài. Diện tích của sân chơi là ........m2.
Câu 2: Tìm một phân số biết tổng của tử số và mẫu số bằng 186 và biết mẫu số lớn hơn tử số 34 đơn vị.
Câu 3: Tìm x biết: x/42 = 156/504
Câu 4: Tính: 
Câu 5: Một ô tô chạy trong giờ đầu được 1/3 quãng đường, giờ thứ hai ô tô chạy được 1/5 quãng đường, giờ thứ ba ô tô chạy 28km thì hết quãng đường. Hỏi quãng đường đó dài bao nhiêu ki-lô-mét?
Câu 6: Tìm 2 số tự nhiên có tổng bằng 417, biết giữa chúng có tất cả 18 số lẻ.
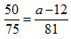
Câu 7: Tìm a biết: 
Câu 8: Tìm 2 số có tổng bằng 235, biết nếu lấy số bé nhân với 3; số lớn nhân với 2 ta được hai tích bằng nhau.
Câu 9: Tìm một số có hai chữ số biết tổng các chữ số của số đó bằng 12. Nếu đổi chỗ hai chữ số của số đó cho nhau thì được một số kém số ban đầu 54.
Câu 10: Có bao nhiêu phân số bằng phân số 36/81 mà tử số là số chẵn bé hơn 36.
Bài 2: Đi tìm kho báu
Câu 1: Một miếng bìa hình chữ nhật có chiều dài là 8dm 5cm, chiều rộng là 25cm. Tính diện tích miếng bìa đó.
Câu 2: Tính chu vi, diện tích của hình chữ nhật biết số đo chiều dài là 8dm2cm, chiều rộng là 25cm.
Câu 3: Tìm số nhỏ nhất có ba chữ số chia hết cho 2; 3; 5 và 9.
Câu 4: Cho 2 số tự nhiên có tổng bằng 2009. Tìm 2 số đó biết giữa chúng có tất cả 100 số tự nhiên khác.
Câu 5: Tìm hai số có tổng là 5883. Biết rằng nếu viết thêm số 25 vào bên phải số bé ta được số lớn.
Bài 3: Hãy điền số thích hợp vào chỗ chấm.
Câu 1: Tính: 
Câu 2: Tìm số có 4 chữ số a02b biết số đó chia hết cho cả 2; 5 và 9.
Câu 3: Tính: ![]()
Câu 4: Tìm X biết: 327 x (126 + X) = 67035
Câu 5: Tìm số bị chia để có thương bằng 126, số dư bằng 37 và số chia là số chia bé nhất.
Câu 6: Một số tự nhiên chia cho 38 được thương là 75 và số dư là số dưlớn nhất có thể. Nếu lấy số đó chia cho 46 thì được số dư bằng bao nhiêu?
Câu 7: Tổng của 2 số lẻ bằng 200. Tìm số bé biết giữa chúng có 8 số lẻ khác.
Câu 8: Một mảnh vườn hình chữ nhật có chu vi bằng 240m được ngăn thành 2 mảnh: một mảnh nhỏ hình vuông để trồng hoa, một mảnh lớn hình chữ nhật có chiều dài gấp 3 lần chiều rộng để trồng rau. Tính diện tích hình chữ nhật ban đầu.
Câu 9: Tính diện tích một hình vuông biết, nếu tăng cạnh hình vuông đó thêm 5cm thì diện tích tăng thêm 335cm2.
Câu 10: Trong tất cả các hình vuông, hình chữ nhật có diện tích bằng 144cm2. Thì hình có chu vi bé nhất có chu vi bằng ..............cm.
Đáp án đề thi Violympic Toán lớp 4
Bài 1: Đỉnh núi trí tuệ
Câu 1: 1440
Câu 2: 76/110
Câu 3: 13
Câu 4: 1
Câu 5: 60
Câu 6: 190; 227
Câu 7: 66
Câu 8: 94; 141
Câu 9: 93
Câu 10: 8
Bài 2: Đi tìm kho báu
Câu 1: 2125
Câu 2: 214; 2050
Câu 3: 180
Câu 4: 954; 1055
Câu 5: 5825; 58
Bài 3: Hãy điền số thích hợp vào chỗ chấm
Câu 1: 4
Câu 2: 7020
Câu 3: 4
Câu 4: 79
Câu 5: 4825
Câu 6: 35
Câu 7: 91
Câu 8: 2304
Câu 9: 961
Câu 10: 48