Đề thi Violympic Toán lớp 5 vòng 19 năm 2014 - 2015
Đề thi Violympic Toán lớp 5 vòng 19
Đề thi Violympic Toán lớp 5 vòng 19 năm 2014 - 2015 là đề thi giải Toán qua mạng có đáp án đi kèm, hi vọng giúp các em học sinh ôn tập và củng cố kiến thức, nhằm đạt kết quả cao trong các vòng tiếp theo của cuộc thi Violympic giải Toán qua mạng năm học 2014 - 2015.
Đề thi Violympic Toán lớp 5 vòng 17 năm 2014 - 2015
Đề thi Violympic Toán lớp 5 vòng 18 năm 2014 - 2015
Đề thi Violympic Toán lớp 5 vòng 19 năm 2014 - 2015 trực tuyến
Bài 1: Chọn các giá trị theo thứ tự tăng dần.

Bài 2: Cóc vàng tài ba
Câu 2.1: Tổng ba số bằng 280. Biết tỉ số giữa số thứ nhất và số thứ hai là 3/4; tỉ số giữa số thứ hai và số thứ ba là 6/7. Tìm số thứ nhất.
a. 96 b. 112 c. 72 d. 42
Câu 2.2: Cho các chữ số 0; 1; 2; 3 và 5. Hỏi lập được tất cả bao nhiêu số lẻ có 4 chữ số khác nhau chia hết cho 5 từ các chữ số đó?
a. 18 b. 42 c. 48 d. 24
Câu 2.3: 15 công nhân mỗi ngày làm việc 8 giờ thì hoàn thành một công việc trong 20 ngày. Hỏi 20 công nhân mỗi ngày làm việc 10 giờ thì sẽ hoàn thành công việc đó trong thời gian bao lâu? (Năng suất lao động của mỗi người là như nhau).
a. 12 b. 10 c. 16 d. 15
Câu 2.4: Nếu tăng chiều dài một hình chữ nhật thêm 20% độ dài của nó thì phải giảm chiều rộng đi bao nhiêu phần trăm độ dài của nó để diện tích hình chữ nhật đó tăng thêm 8%?
a. 12 b. 10 c. 8 d. 5
Câu 2.5: Cho biết số bị chia, số chia, thương và số dư của một phép chia là 4 số trong các số 2; 3; 9; 27; 81; 243; 567. Tìm số dư của phép chia đó.
a. 9 b. 81 c. 27 d. 2
Câu 2.6: Tính S = 1,2 + 2,3 + 3,4 + ..... + 97,98 + 98,99 + 99,100.
Câu 2.7: Tìm chữ số tận cùng của tích: 2 x 12 x 22 x .... x 2012 x 2022
a. 2 b. 4 c. 6 d. 8
Câu 2.8: An bắt đầu làm bài thi lúc 10 giờ 20 phút. Đến khi An làm bài xong là đúng lúc kim giờ và kim phút đồng hồ trùng nhau. Tính thời gian làm bài thi của An.
a. 19/33 giờ b. 10/11 giờ c. 35 phút d. 7/11 giờ
Câu 2.9: Tìm số tự nhiên a để số chữ số của dãy: 1; 2; 3; .....; a bằng 3 lần a.
a. 1098 b. 1107 c. 1108 d. 1104
Câu 2.10: Cho tam giác ABC. Trên đáy BC lấy điểm D sao cho BD = 2/5 BC. Nối A với D, lấy G là trung điểm của AD. Nối B với G kéo dài cắt AC tại K. Tính tỉ số AK/AC.
a. 2/5 b. 2/7 c. 1/2 d. 2/3
Bài 3: Hãy điền số thích hợp vào chỗ chấm
Câu 3.1: Tìm số tự nhiên lớn nhất y thỏa mãn điều kiện: y x 8,6 < 2015,2016
Câu 3.2: Cho A là hình hộp chữ nhật có diện tích toàn phần nhỏ nhất được xếp bởi 12 hình lập phương nhỏ cạnh 1cm. Tính diện tích toàn phần của hình hộp chữ nhật A.
Câu 3.3: Một phần của cuốn sách gồm 20 trang liền nhau. Hỏi trang đầu của phần sách đó là trang bao nhiêu? Biết tổng các số ghi số trang của phần đó bằng 1810.
Câu 3.4: Hiện nay tuổi anh hơn hai lần tuổi em là 6 tuổi. Biết hai lần tuổi anh hơn tổng số tuổi của hai anh em là 10 tuổi. Tính tuổi anh hiện nay.
Câu 3.5: Tìm số tự nhiên a biết: ![]()
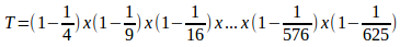
Câu 3.6: Tính: ![]()
Câu 3.7: Cho A = 671 x 99..997 + 2015 (thừa số 99...997 có tất cả 99 chữ số 9). Tính tổng các chữ số của A.
Câu 3.8: Cho một hình vuông. Nối trung điểm hai cạnh liên tiếp của hình vuông đó với nhau ta được hình vuông thứ hai. Nối trung điểm hai cạnh liên tiếp của hình vuông thứ hai với nhau ta được hình vuông thứ ba. Nối hai đường chéo của hình vuông đã cho ta được hình như hình vẽ sau:

Tính tổng diện tích tất cả các tam giác có trong hình vẽ. Biết diện tích hình vuông đã cho là 156,25cm2.
Câu 3.9: Một người mua một số cam với giá 20000 đồng/1 kg về để bán. Trong quá trình vận chuyển bị hỏng mất 5kg. Số cam còn lại người đó bán như sau: một nửa được bán với giá 30000 đồng/1 kg; một phần ba được bán với giá 25000 đồng/1 kg; phần còn lại được bán với giá 15000 đồng/1 kg. Tính khối lượng cam người đó đã mua về để bán. Biết số tiền lãi người đó thu được là 600000 đồng.
Câu 3.10: Cùng một lúc hai xe máy đi từ A đến B với vận tốc lần lượt là 30km/giờ; 40km/giờ và một ô tô đi từ B về A với vận tốc 50km/giờ. Hỏi sau khi đi được bao nhiêu ki-lô-met thì ô tô ở chính giữa hai xe máy? Biết quãng đường AB dài 119km.
Đáp án đề thi Violympic Toán lớp 5 vòng 19
Bài 1: Chọn các giá trị theo thứ tự tăng dần.
(20) < (4) < (19) < (18) < (15) < (6) < (14) < (1) < (2) < (7) < (3) < (12) < (8) < (5) < (11) < (9) < (17) < (16) < (10) < (13)
Bài 2: Cóc vàng tài ba
Câu 2.1: c
Câu 2.2: a
Câu 2.3: a
Câu 2.4: b
Câu 2.5: b
Câu 2.6: 5003,55
Câu 2.7: d
Câu 2.8: a
Câu 2.9: b
Câu 2.10: b
Bài 3: Hãy điền số thích hợp vào chỗ chấm
Câu 3.1: 234
Câu 3.2: 32
Câu 3.3: 81
Câu 3.4: 14
Câu 3.5: 99
Câu 3.6: 0,52
Câu 3.7: 16
Câu 3.8: 781,25
Câu 3.9: 125
Câu 3.10: 70