Giải bài tập SGK Toán lớp 6: Ôn tập Chương 3 - Phần bài tập
Giải bài tập SGK Toán lớp 6: Ôn tập chương 3
Giải bài tập SGK Toán lớp 6: Ôn tập Chương 3 - Phần câu hỏi là lời giải chi tiết phần Bài tập SGK Toán 6 tập 2 trang 64, 65 cho các em học sinh tham khảo ôn tập toàn bộ kiến thức Chương 3 phần phân số chuẩn bị cho các bài thi học kì đạt kết quả cao. Mời các em cùng tham khảo tải về chi tiết.
Giải bài tập SGK Toán lớp 6: Ôn tập Chương 3 - Phần câu hỏi
Giải bài tập SGK Toán lớp 6 chương 3 bài 17: Biểu đồ phần trăm
Hướng dẫn giải Bài tập SGK Toán 6 tập 2 Phần Ôn tập Chương 3 trang 64, 65
Bài 154 (trang 64 SGK Toán 6 tập 2): Cho phân số x/3. Với giá trị nguyên nào của x thì ta có:
Lời giải:
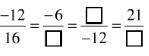
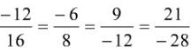
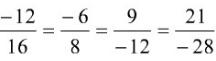
Bài 155 (trang 64 SGK Toán 6 tập 2): Điền số thích hợp vào ô vuông:
Lời giải:
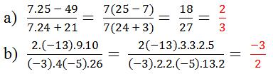
Bài 156 (trang 64 SGK Toán 6 tập 2): Rút gọn:
Lời giải:
Cách làm:
- Phần a): phân tích thành các thừa số chung, rồi rút chúng ra ngoài dấu ngoặc, sau đó rút gọn.
- Phần b): phân tích một số thành tích các số, sau đó rút gọn các số giống nhau ở tử và mẫu.
Bài 157 (trang 64 SGK Toán 6 tập 2): Viết các số đo thời gian sau đây với đơn vị là giờ:
15 phút; 45 phút; 78 phút; 150 phút.
Lời giải:
Gợi ý: Làm theo hướng dẫn trong sgk Toán 6 Tập 2, lấy số phút chia cho 60.
Bài 158 (trang 64 SGK Toán 6 tập 2): So sánh hai phân số:
Lời giải:
Bài 159 (trang 64 SGK Toán 6 tập 2): Các phân số sau đây được sắp xếp theo một quy luật. Hãy qui đồng mẫu các phân số để tìm quy luật đó rồi điền tiếp vào chỗ trống một phân số thích hợp:
Lời giải:
Bài 160 (trang 64 SGK Toán 6 tập 2): Tìm phân số a/b bằng phân số 18/27 biết rằng ƯCLN (a, b) = 13.
Lời giải:












