Giải VBT Toán lớp 6: Tính chất cơ bản của phân số
Giải VBT Toán lớp 6: Tính chất cơ bản của phân số là lời giải hay cho các câu hỏi trong Vở bài tập Toán lớp 6 nằm trong chương trình giảng dạy môn Toán Đại số chương 3 lớp 6. Hi vọng rằng đây sẽ là những tài liệu hữu ích trong công tác giảng dạy và học tập của quý thầy cô và các em học sinh.
Tính chất cơ bản của phân số
Giải VBT Toán lớp 6 tập 2 trang 10 bài 7
Điền số thích hợp vào ô trống.

Phương pháp giải
Tính chất cơ bản của phân số:
Nếu ta nhân cả tử và mẫu của một phân số với cùng một số nguyên khác 0 thì ta được một phân số bằng phân số đã cho:
\(\dfrac{a}{b} = \dfrac{{a.m}}{{b.m}}\,\,\left( {m \in Z,m \ne 0} \right)\).
Đáp án
Nhân tử và mẫu của mỗi phân số
\(\dfrac{1}{4},\dfrac{{ - 3}}{4}\) với cùng một số nguyên khác 0, ta được phân số bằng mỗi phân số đó.
Chẳng hạn:

Có vô số phân số thỏa mãn đề bài.

Các phân số biểu diễn số 1 đều có tử và mẫu bằng nhau.
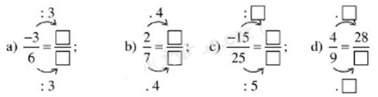
Giải VBT Toán lớp 6 tập 2 trang 11 bài 8
Điền số thích hợp vào ô vuông.

Phương pháp giải
Tính chất cơ bản của phân số:
- Nếu ta nhân cả tử và mẫu của một phân số với cùng một số nguyên khác 0 thì ta được một phân số bằng phân số đã cho:
\(\dfrac{a}{b} = \dfrac{{a.m}}{{b.m}}\,\,\left( {m \in Z,m \ne 0} \right)\)
- Nếu ta chia cả tử và mẫu của một phân số cho cùng một ước chung của chúng thì ta được một phân số bằng phân số đã cho:
\(\dfrac{a}{b} = \dfrac{{a:n}}{{b:n}}\,\,\left( {n \in ƯC\left( {a,b} \right)} \right)\)
Đáp án

Giải VBT Toán lớp 6 tập 2 trang 12 bài 9
Các số sau là bao nhiêu phần của một giờ:
a) 15 phút ;
b) 30 phút ;
c) 45 phút ;
d) 20 phút ;
e) 40 phút ;
g) 10 phút ;
h) 5 phút.
Phương pháp giải
Ta lấy số phút chia cho 60 rồi rút gọn phân số thu được.
Đáp án
1 giờ = 60 phút
a) 15 phút =
\(\dfrac{15}{60}\) giờ =
\(\dfrac{15:15}{60:15}\) giờ =
\(\dfrac{1}{4}\) giờ.
Vậy 15 phút chiếm
\(\dfrac{15}{60}\) giờ hay
\(\dfrac{1}{4}\) giờ.
b) 30 phút chiếm
\(\dfrac{30}{60}\) giờ hay
\(\dfrac{1}{2}\) giờ.
c) 45 phút chiếm
\(\frac{45}{60}\) giờ hay
\(\dfrac{3}{4}\) giờ.
d) 20 phút chiếm
\(\dfrac{20}{60}\) giờ hay
\(\dfrac{1}{3}\) giờ.
e) 40 phút chiếm
\(\dfrac{40}{60}\) giờ hay
\(\dfrac{2}{3}\) giờ.
g) 10 phút chiếm
\(\dfrac{10}{60}\) giờ hay
\(\dfrac{1}{6}\) giờ.
h) 5 phút chiếm
\(\dfrac{5}{60}\) giờ hay
\(\dfrac{1}{12}\) giờ.
Giải VBT Toán 6 bài Tính chất cơ bản của phân số bao gồm 3 câu hỏi bài tập có đáp án và phương pháp giải chi tiết cho từng câu hỏi cho các em học sinh củng cố, rèn luyện kỹ năng giải toán về số nguyên, tính chất của phép nhân, ôn tập Chương 3 Số học Toán lớp 6.
Ngoài ra các em học sinh có thể tham khảo các bài giải SGK môn Toán lớp 6, Môn Ngữ văn 6, Môn Vật lý 6, môn Sinh Học 6, Lịch sử 6, Địa lý 6....và các đề thi học kì 1 lớp 6 và đề thi học kì 2 lớp 6 chi tiết mới nhất trên VnDoc.com để chuẩn bị cho các bài thi đề thi học kì đạt kết quả cao.