Giáo án ôn thi đại học môn Toán lớp 12
Giáo án điện tử là giáo án truyền thống của giáo viên nhưng được soạn thảo trên máy tính, được lưu trữ và hiển thị ở dạng điện tử. Khi đưa giáo án truyền thống vào máy tính thì những ưu điểm, thế mạnh của Công nghệ thông tin sẽ giúp bạn trình bày nội dung và thể hiện hình thức của giáo án đẹp hơn, chuyên nghiệp hơn.
Thư viện giáo án điện tử VnDoc.com xin giới thiệu tới độc giả "Giáo án ôn thi đại học môn Toán lớp 12 phần Tích phân" để bạn tham khảo và ứng dụng trong quá trình giảng dạy, mời các bạn cùng tham khảo và tải về sử dụng.
Giáo án ôn thi đại học môn Toán lớp 12 phần Tích phân
A. LÝ THUYẾT CẦN NẮM
I. NGUYÊN HÀM
1 - Tính chất của nguyên hàm:

2 - Bảng các nguyên hàm thường gặp


Hệ quả:

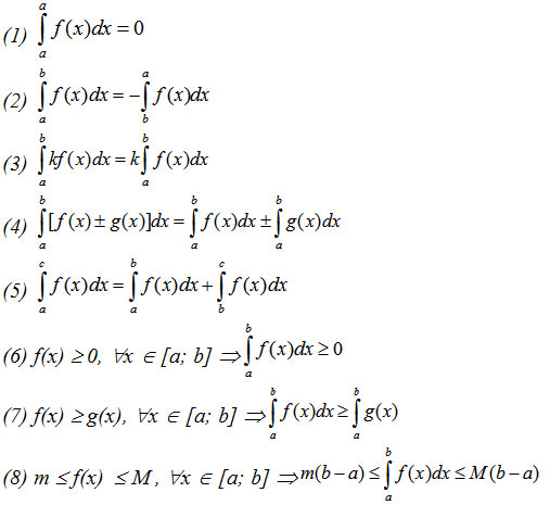
II. Tích phân xác định
1. Định nghĩa
(Trong đó F(x) là một nguyên hàm của f(x))
2. Tính chất của tích phân xác định
