Giáo án môn Toán Tích phân lớp 12
Giáo án môn Toán Tích phân lớp 12 bám sát kiến thức, kỹ năng và những quy định trong chương trình sách giáo khoa môn Toán lớp 12, đồng thời đổi mới phương pháp dạy và học nhằm phát huy vai trò chủ thể năng động sáng tạo của mỗi học sinh. Chính vì vậy, bên cạnh những kiến thức cơ bản trong sách giáo khoa, học sinh còn được tiếp cận với những kiến thức và phương pháp học mới mẻ, hiệu quả hơn.
Giáo án môn Toán lớp 12 phân Nguyên hàm - Tích phân và ứng dụng
Chương III: NGUYÊN HÀM, TÍCH PHÂN VÀ ỨNG DỤNG
I. Mục tiêu:
1. Kiến thức:
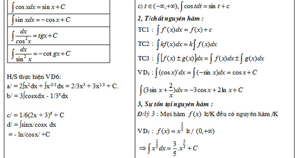
- Hiểu biết khái niệm nguyên hàm của một hàm số
- Biết các tính chất cơ bản của nguyên hàm
2. Kỹ năng:
- Tìm được nguyên hàm của một hàm số tương đối đơn giản dựa vào bảng nguyên hàm và cách tính nguyên hàm từng phần.
- Sử dụng được pp biến đổi số (khi đã chỉ rõ các cách biến đổi số và không đổi biến số quá 1 lần) để tính nguyên hàm.
3. Thái độ:
Chủ động chiếm lĩnh tri thức mới, tích cực hoạt động biết quy lạ về quen.
4. Năng lực:
Rèn năng lực tư duy, năng lực tổng hợp và tính toán.
II. Chuẩn bị
- Học sinh: Bảng công thức tính đạo hàm.
- Giáo viên: Bảng phụ, giáo án.
III. Phương pháp:
- Gợi mở+vấn đáp, hoạt động nhóm.
- Thuyết trình vấn đáp.
IV. Tiến trình
1. Kiểm tra bài cũ: không.
2. Bài mới




*Củng cố:
Nhấn mạnh bảng nguyên hàm và tính chất.
BT 1,2 (SGK) trang 100.