Giáo án Tin học 8: Bài tập (Tiếp theo)
Giáo án Tin học 8
Giáo án Tin học 8: Bài tập (Tiếp theo) có nội dung bám sát vào chương trình trong sách giáo khoa của Bộ Giáo Dục và Đào Tạo. Đây sẽ là giáo án điện tử lớp 8 hay giúp quý thầy cô thuận tiện cho việc biên soạn.
Tuần: 4
Tiết: 8
BÀI TẬP
I. MỤC TIÊU:
1. Kiến thức: Vận dung kiến thức đã học vào làm các bài tập.
2. Kĩ năng: Phân biệt được các kiểu dữ liệu cơ bản trong ngôn ngữ lập trình Pascal.
3. Thái độ: Nghiêm túc, có ý thức và yêu thích môn học.
II. CHUẨN BỊ:
1. Giáo viên: Sách giáo khoa, máy tính điện tử, giáo án, máy chiếu.
2. Học sinh: Vở ghi, sách giáo khoa.
III. CÁC HOẠT ĐỘNG DẠY – HỌC:
1. Ổn định lớp: (1’)
8A1:……………………………………………………………………………
8A2:……………………………………………………………………………
2. Kiểm tra bài cũ:
Thông qua bài học.
3. Bài mới:
|
Hoạt động của GV |
Hoạt động của HS |
Nội dung ghi bảng |
|
Hoạt động 1: (43’) Bài tập 2. |
||
|
+ GV: Yêu cầu HS thực hiện: 1. Hãy nêu ít nhất hai kiểu dữ liệu và một phép toán có thể thực hiện được trên một kiểu dữ liệu, nhưng phép toán đó không có nghĩa trên kiểu dữ liệu kia. + GV: Thực hiện thảo luận theo nhóm trình bày nội dung bài. 2. Dãy chữ số 2010 có thể thuộc những kiểu dữ liệu nào? + GV: Gọi cá nhân HS trình bày câu trả lời. + GV: Nhận xét đánh giá. 3. Hãy phân biệt ý nghĩa của các câu lệnh Pascal sau đây: Writeln(‘5+20’,‘20+5’); và Writeln(‘5+20’,20+5);
Hai lệnh sau có tương đương với nhau không? Tại sao? Writeln(‘100’); và Writeln(100); + GV: Thực hiện thảo luận theo nhóm trình bày nội dung bài. 4. Viết các biểu thức toán dưới đây bằng các kí hiệu trong Pascal:
b) ax2 + bx + c;
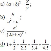
d) (a2 + b)(a + c)3 + GV: Yêu cầu HS thực hiện vào vở theo cá nhân, 4 em lên bảng thực hiện sửa bài. 5. Chuyển các biểu thức được viết trong Pascal sau đây thanh các biểu thức toán:
a) (a + b)*(a + b) – x/y; b) b/(a*a + c); c) a*a/((2*b + c)*(2*b + c)); d)1 + 1/2 + 1/(2*3) + 1/(3*4) + 1/(4*5). + GV: Yêu cầu HS thực hiện vào vở theo cá nhân, 4 em khác lên bảng thực hiện sửa bài. 6. Hãy xác định kết quả của các biểu thức sau đây: a) 15 – 8 3; b) (20 – 15)2 25; c) 112 = 121; d) x > 10 – 3x. + GV: Kiểm chứng kết quả thực hiện của các em. 7. Viết các biểu thức ở bài tập 6 bằng các kí hiệu trong Pascal. + GV: Quan sát hướng dẫn các em thực hiện. + GV: Sửa các lỗi sai các em thường mắc phải. + GV: Hệ thống lại kiến thức, nhận xét chốt nội dung bài học. |
1. Hai ví dụ: a) Dữ liệu kiểu số và dữ liệu kiểu xâu kí tự. b) Dữ liệu kiểu số nguyên và dữ liệu kiểu số thực. + HS: Thảo luận theo nhóm nhỏ hội ý trình bày nội dung câu hỏi. 2. Dãy chữ số 2010 có thể là dữ liệu kiểu dữ liệu số nguyên, số thực hoặc kiểu xâu kí tự. + HS: Thực hiện trả lời các bạn khác nhận xét bổ xung ý kiến. 3. Writeln('5+20=','20+5') in ra màn hình hai xâu kí tự '5+20' và '20+5' liền nhau: 5+20 = 20+5, còn lệnh Writeln('5+20=',20+5) in ra màn hình xâu kí tự '5+20' và tổng 20 + 5 như sau: 5+20=25. Hai lệnh tương đương nhau bởi đều xuất ra màn hình 100.
+ HS: Thảo luận theo nhóm nhỏ hội ý trình bày nội dung câu hỏi. + HS: Áp dụng nội dung đã được học thực hiện yêu cầu: a) a/b + c/d; b) a*x*x + b*x + c; c) 1/x – a/5*(b+2); d) (a*a+b)*(a+c)*(a+c)*(a+c); + HS: Tự thực hiện theo cá nhân vào vở, 4 em lên bảng thực hiện các bạn khác nhận xét kết quả. + HS: Vận dụng thực hiện bài toán ngược so với bài 4, thực hiện theo đúng yêu cầu.
+ HS: Thực hiện viết biểu thức dưới sự hướng dẫn của GV, làm theo đúng các yêu cầu. + HS: Kiểm tra nhanh các nội dung của GV đưa ra: a) Đúng; b) Sai; c) Đúng; d) Đúng khi x > 2.5; ngược lại, phép so sánh có kết quả sai. + HS: Tập trung thực hiện. + HS: Thực hiện tương tự bài tập 4 làm theo yêu cầu: a) 15-8>=3; b)(20-15)*(20-15)<>25; c) 11*11=121; d) x>10-3*x. + HS: Tập trung chú ý lắng nghe hệ thông kiến thức. |
2. Bài tập 2:
|
4. Củng cố:
- Củng cố trong nội dung bài.
5. Dặn dò: (1’)
- Ôn lại những nội dung đã học. Xem trước nội dung bài tiếp theo.
IV. RÚT KINH NGHIỆM:
..............................................................................................................................................................
