Giáo án Tin học 8: Bài thực hành 2: Viết chương trình để tính toán (Tiết 1)
Giáo án Tin học 8: Bài thực hành 2
Giáo án Tin học 8: Bài thực hành 2: Viết chương trình để tính toán (Tiết 1) có nội dung bám sát vào chương trình trong sách giáo khoa của Bộ Giáo Dục và Đào Tạo. Đây sẽ là giáo án điện tử lớp 8 hay giúp quý thầy cô thuận tiện cho việc biên soạn.
Giáo án Tin học 8: Bài tập (Tiếp theo)
Giáo án Tin học 8: Bài thực hành 2: Viết chương trình để tính toán (Tiết 2)
Tuần: 5
Tiết: 9
BÀI THỰC HÀNH 2: VIẾT CHƯƠNG TRÌNH ĐỂ TÍNH TOÁN
I. MỤC TIÊU:
1. Kiến thức: Biết được kiểu dữ liệu khác nhau thì được xử lý khác nhau.
2. Kĩ năng: Chuyển được biểu thức toán học sang biểu diễn trong ngôn ngữ lập trình;
3. Thái độ: Nghiêm túc, rèn luyện tính cẩn thận, có ý thức và yêu thích môn học.
II. CHUẨN BỊ:
1. Giáo viên: Sách giáo khoa, máy tính điện tử, giáo án, máy chiếu.
2. Học sinh: Vở ghi, sách giáo khoa.
III. CÁC HOẠT ĐỘNG DẠY – HỌC:
1. Ổn định lớp: (1’)
8A1:……………………………………………………………………………
8A2:……………………………………………………………………………
2. Kiểm tra bài cũ: (5’)
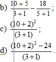
Câu 1: Chuyển biểu thức toán học dưới đây thành biểu thức viết trong ngôn ngữ pascal:
![]()
3. Bài mới:
|
Hoạt động của GV |
Hoạt động của HS |
Nội dung ghi bảng |
|
Hoạt động 1: (37’) Luyện gõ biểu thức số học pascal. |
||
|
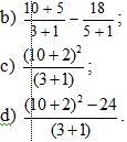
+ GV: Yêu cầu các em ôn lại về cách biến đổi biểu thức số học sang biểu thức trong chương trình Pascal. + GV: Đưa ra một số ví dụ yêu cầu HS vận dụng và thực hiện. + GV: Cho HS đọc nội dung bài 1. + GV: HS viết biểu thức toán học sang dạng biểu thức trong Pascal. a) 15x4-30+12;
+ GV: Yêu cầu các HS thực hiện theo cá nhân, viết bài vào vở học. + GV: Cho 4 HS lên bảng thực hiện các bài tập khác nhau. + GV: Quan sát hướng dẫn quá trình làm bài của các em bên dưới. + GV: Hướng dẫn các em sửa các bài tập, yêu cầu các bạn khác quan sát nhận xét. + GV: Hướng dẫn sửa sai cho HS, chỉ ra các lỗi các em thường gặp. + GV: Lưu ý: Chỉ được dùng dấu ngoặc đơn để nhóm các phép toán. + GV: Yêu cầu HS khởi động Turbo Pascal và gõ chương trình tính các biểu thức (bài 1). + GV: Lưu ý: Các biểu thức trong Pascal được đặt trong câu lệnh writeln để in ra kết quả, em có cách viết khác sau khi làm quen với khái niệm biến ở bài 4. + GV: Quan sát quá trình thực hiện. + GV: Hướng dẫn HS trong quá trình gõ chương trình vào Pascal. + GV: Yêu cầu HS sau khi gõ xong thực hiện lưu bài với tên bieuthuc. + GV: Yêu cầu HS sau khi gõ xong biên dịch chương trình kiểm tra lỗi, chạy chương trình xem kết quả. + GV: Yêu cầu HS nhận xét bài làm của bạn thực hiện trên bảng. + GV: Sau khi biên dịch sửa các lỗi xong yêu cầu HS thực hiện chạy chương trình kiểm chứng kết quả. + GV: Quan sát hướng dẫn HS thực hiện chạy chương trình kiểm chứng. + GV: Cho HS quan sát một số bài mà các bạn em đã thực hiện tốt. + GV: Trình chiếu một bài có chương trình chạy đúng bị lỗi, hướng dẫn các em cách trình bày và khắc phục lỗi thường gặp. + GV: Yêu cầu HS lưu bài lại sau khi đã chỉnh sửa với tên cũ. + GV: Giúp đỡ các HS còn yếu, thực hiện thao tác chưa tốt. + GV: Nhận xét bài làm của HS, chốt nội dung bài tập 1. |
+ HS: Thực hiện nhắc lại các phép toán với dữ liệu kiểu số: +, -, *, /. + HS: Thực hiện theo yêu cầu của GV đưa ra. + HS: Đọc và tìm hiểu SGK. + HS: Thực hiện theo yêu cầu.
a) 15*4-30+12;
b) ((10+5)/(3+1))-18/(5+1);
c) (10+2)*(10+2)-24/(3+1);
d) ((10+2)*(10+2))/(3+1);
+ HS: Thực hiện theo cá nhân các yêu cầu của GV đưa ra. + HS: Lên bảng thực hiện theo yêu cầu của GV đưa ra. + HS: Thực hiện bài làm dưới sự hướng dẫn của GV đưa ra. + HS: Quan sát so sánh với bài làm của mình nhận xét bổ xung cho bài của bạn. + HS: Quan sát tự thực hiện theo hướng dẫn của GV. + HS: Một em lên bảng thực hiện gõ chương trình trên. + HS: Thực hành trên máy tính, khởi động Pascal và gõ theo mẫu nội dung bài 1.b. + HS: Chương trình: Begin Writeln(‘15*4 – 30 + 12= ’, 15*4 – 30 + 12); … End. + HS: Thực hiện các bước theo hướng dẫn của GV đưa ra. + HS: Thực hiện lưu bài với các bước đã được học ở tiết trước. + HS: Thực hiện biên dịch (Alt + F9) chương trình kiểm tra lỗi, sửa lỗi nếu có. + HS: So sánh bài làm của mình, nhận xét và bổ xung ý kiến. + HS: Thực hiện chạy chương trình (Ctrl + F9) kiểm chứng, xem kết quả đạt được. + HS: Thực hiện dưới sự hướng dẫn của GV. + HS: Quan sát và học tập các bài làm tốt của bạn mình. + HS: Quan sát, chú ý lắng nghe sự hướng dẫn của GV, cách trình bày và các lỗi thường mắc phải trong khi gõ chương trình. + HS: Thực hiện lưu bài lại với tên cũ. + HS: Rèn luyện các kỹ năng còn yêu theo sự hướng dẫn của GV. + HS: Chú ý lắng nghe ghi nhớ các nội dung đã được thực hiện. |
1. Luyện gõ biểu thức số học pascal. |
4. Củng cố:
- Cũng cố trong nội dung bài học.
5. Dặn dò: (2’)
- Ôn lại phép chia lấy nguyên là chia lấy dư.
- Xem phần tiếp theo của bài thực hành.
IV. RÚT KINH NGHIỆM:
...................................................................................................................................................................................
