Giao diện mới của VnDoc Pro: Dễ sử dụng hơn - chỉ tập trung vào lớp bạn quan tâm. Vui lòng chọn lớp mà bạn quan tâm: Lưu và trải nghiệm
Đóng
Điểm danh hàng ngày
  • Hôm nay +3
  • Ngày 2 +3
  • Ngày 3 +3
  • Ngày 4 +3
  • Ngày 5 +3
  • Ngày 6 +3
  • Ngày 7 +5
Bạn đã điểm danh Hôm nay và nhận 3 điểm!
Nhắn tin Zalo VNDOC để nhận tư vấn mua gói Thành viên hoặc tải tài liệu Hotline hỗ trợ: 0936 120 169

Luyện thi Violympic Toán lớp 7 vòng 17 năm 2015 - 2016

Lớp: Lớp 7
Môn: Toán
Loại File: PDF + Word
Phân loại: Tài liệu Tính phí

Đề luyện thi Violympic Toán lớp 7 vòng 17

Luyện thi Violympic Toán lớp 7 vòng 17 năm 2015 - 2016 được VnDoc sưu tầm và giới thệu tới các em học sinh tham khảo để củng cố và rèn luyện kiến thức chuẩn bị cho vòng thi 17 (bắt đầu mở từ ngày 23/03/2016) của Cuộc thi giải Toán qua mạng lớp 7 năm 2015 - 2016 sắp tới đây.

Đề thi Violympic Toán lớp 7 vòng 16 năm 2015 - 2016

Luyện thi Violympic Toán lớp 7 vòng 16 năm 2015 - 2016

Mời làm: Luyện thi Violympic Toán lớp 7 vòng 17 năm 2015 - 2016 trực tuyến

Bài 1: Cóc vàng tài ba

Câu 1.1: Cho đa thức f(x) = ax2 + bx + c (với a, b, c là các số hữu tỉ). Biết f(-2) + f(3) = 0. Khẳng định nào dưới đây là đúng.

a. 13a + 5b + 2c = 0

b. 5a + 5b = 0

c. 5a + b + 2c = 0

d. 13a + b + 2c = 0

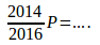
Câu 1.2: Tính giá trị của biểu thức A = -a + b - 1 biếtLuyện thi violympic toán lớp 7 vòng 17

a. -2 b. 0 c. -1 d. 1

Câu 1.3: Số các cặp số hữu tỉ (x; y; z) thỏa mãn x(x + y + z) = 4; y(x + y + z) = 6; z(x + y + z) = 6 là .........

a. 0 b. 3 c. 1 d. 2

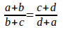
Câu 1.4: Cho tỉ lệ thức x/y = z/t. Từ đó ta có tỉ lệ thức:Luyện thi violympic toán lớp 7 vòng 17(với giả thiết các tỉ lệ thức đều có nghĩa). Vậy a + b = ...........

a. 1 b. 0 c. 1 d. -1

Câu 1.5: Cho y là một số tự nhiên lẻ. Hỏi có bao nhiêu số nguyên x thỏa mãn xy = x6.

a. 1 b. 0 c. 2 d. 3

Câu 1.6: Số cặp (x; y) nguyên thỏa mãn x2 + (5y)2 = 2013 là .........

a. 10 b. 15 c. 5 d. 0

Câu 1.7: Cho x là số hữu tỉ thỏa mãnLuyện thi violympic toán lớp 7 vòng 17. Khẳng định nào dưới đây là đúng.

a. x ≥ -1 và x < -4

b. x ≥ -1 hoặc x ≤ -4

c. x ≥ -1 và x ≤ -4

d. x ≥ -1 hoặc x < -4

Câu 1.8: Số các số nguyên thỏa mãn I2x + 3I + I2x - 5I ≤ 8 là .........

a. 4 b. 9 c. 12 d. 6

Câu 1.9: Tam giác ABC vuông tại A có BC = 10cm; góc B = 30o; lấy D thuộc cạnh BC sao cho góc BAD = 15o. Khi đó CD =......
a. 7cm b. 5(√3 + 1)cm c. 2,5√3cm d. 2,5(√3 + 1)cm

Câu 1.10: Cho tam giác ABC vuông tại A; AB = 5cm; BC = 9cm. Các tia phân giác của các góc B và C cắt nhau tại I. Khi đó IC = ....

a. 6cm b. 7cm c. 6,5cm d. 7,5cm

Bài 2: Vượt chướng ngại vật

Câu 2.1: Cho tỉ lệ thức: Luyện thi Violympic toán lớp 7 vòng 17. Nếu a khác c thì a + b + c + d = ...........

Câu 2.2: Cho tam giác ABC có A. Luyện thi violympic toán lớp 7 vòng 17. Vậy k = .............

Câu 2.3: Cho x; y; z là các số hữu tỉ dương và đặt A = x.y.z. Biết rằng nếu thêm 1 vào x thì A tăng 1 đơn vị; nếu thêm 2 vào y thì A tăng 2 đơn vị; nếu thêm 2 vào z thì A tăng 8 đơn vị. Vậy x.y.z = ..........

Câu 2.4: Cho tam giác ABC có AB = 5cm; AC = 9cm; BC = 12cm. Gọi E là trung điểm của AB; D là trung điểm của AC. Trên tia CE lấy điểm M, trên tia BD lấy điểm N sao cho E là trung điểm của CM; D là trung điểm của BN. Khi đó MN = ........... cm

Câu 2.5: Cho Luyện thi violympic Toán lớp 7 vòng 17

Khi đó Luyện thi violympic Toán lớp 7 vòng 17

Bài 3: Hãy điền giá trị thích hợp vào chỗ chấm.

Câu 3.1: Tìm số tự nhiên a nhỏ nhất để 32014 + a chia hết cho 10.

Câu 3.2: Cho tam giác ABC nhọn. Kẻ AH vuông góc với BC. Tính chu vi tam giác ABC biết AH = 12cm; BH = 5cm; CH = 16cm.

Câu 3.3: Tam giác ABC cân có góc B = góc C = 4Â. Vậy  = .........o.

Câu 3.4: Tập hợp các số nguyên x thỏa mãn IIx + 3I - 19I = 0 là {........}

Câu 3.5: Lớp 7A, 7B, 7C trồng được 387 cây. Số cây lớp 7A trồng được bằng 11/5 số cây lớp 7B trồng được. Số cây lớp 7B trồng được bằng 35/17 số cây lớp 7C trồng được. Vậy số cây lớp 7A trồng được là .......... cây.

Câu 3.6: Tính giá trị của biểu thức:Luyện thi violympic toán lớp 7 vòng 17với x/3= y/5.

Câu 3.7: Ba kho A, B, C chứa một số gạo. Người ta nhập vào kho A thêm 1/7 số gạo của kho đó, xuất ở kho B đi 1/9 số gạo của kho đó, xuất ở kho C đi 2/7 số gạo của kho đó. Khi đó số gạo ba kho bằng nhau. Tính số gạo ở kho B lúc đầu, biết rằng kho B chứa nhiều hơn kho A là 20 tạ gạo.

Câu 3.8: Ba người cùng góp vốn tương tứng tỉ lệ với 1,2 : 1,3 : 1,5. Hỏi người thứ nhất góp vốn bao nhiêu tiền, biết rằng số tiền người thứ nhất góp vốn ít hơn người thứ ba là 30 triệu đồng.

Câu 3.9: Tập hợp các số nguyên x thỏa mãn (x + 1).(-x4 - 5).(2x - 2).Ix + 7I ≥ 0 là {.........}

Câu 3.10: Biết A = 1.2 + 2.3 + 3.4 + .... + 99.100 = 333300 thì B = 1.4 + 2.5 + 3.6 + .... + 99.102 = ..............

Đáp án đề luyện thi Violympic Toán lớp 7 vòng 17

Bài 1: Cóc vàng tài ba

Câu 1.1: d

Câu 1.2: c

Câu 1.3: d

Câu 1.4: d

Câu 1.5: c

Câu 1.6: d

Câu 1.7: d

Câu 1.8: a

Câu 1.9: d

Câu 1.10: a

Bài 2: Vượt chướng ngại vật

Câu 2.1: 0

Câu 2.2: 3

Câu 2.3: 2

Câu 2.4: 24

Câu 2.5: 1/3

Bài 3: Hãy điền giá trị thích hợp vào chỗ chấm

Câu 3.1: 1

Câu 3.2: 54

Câu 3.3: 20

Câu 3.4: -22; 16

Câu 3.5: 231

Câu 3.6: 8

Câu 3.7: 90

Câu 3.8: 120

Câu 3.9: -7; -1; 0; 1

Câu 3.10: 343200

Chọn file muốn tải về:
Đóng Chỉ thành viên VnDoc PRO/PROPLUS tải được nội dung này!
Đóng
79.000 / tháng
Đặc quyền các gói Thành viên
PRO
Phổ biến nhất
PRO+
Tải tài liệu Cao cấp 1 Lớp
30 lượt tải tài liệu
Xem nội dung bài viết
Trải nghiệm Không quảng cáo
Làm bài trắc nghiệm không giới hạn
Mua cả năm Tiết kiệm tới 48%

Có thể bạn quan tâm

Xác thực tài khoản!

Theo Nghị định 147/2024/ND-CP, bạn cần xác thực tài khoản trước khi sử dụng tính năng này. Chúng tôi sẽ gửi mã xác thực qua SMS hoặc Zalo tới số điện thoại mà bạn nhập dưới đây:

Số điện thoại chưa đúng định dạng!
Số điện thoại này đã được xác thực!
Bạn có thể dùng Sđt này đăng nhập tại đây!
Lỗi gửi SMS, liên hệ Admin
Sắp xếp theo
🖼️

Toán 7

Xem thêm
🖼️

Gợi ý cho bạn

Xem thêm