Luyện thi Violympic Toán lớp 7 vòng 16 năm 2015 - 2016
Đề luyện thi Violympic Toán lớp 7 vòng 16
Luyện thi Violympic Toán lớp 7 vòng 16 năm 2015 - 2016 được VnDoc sưu tầm và giới thệu tới các em học sinh tham khảo để củng cố và rèn luyện kiến thức chuẩn bị cho vòng thi 16 (bắt đầu mở từ ngày 12/03/2016) của Cuộc thi giải Toán qua mạng lớp 7 năm 2015 - 2016 sắp tới đây.
Đề thi Violympic Toán lớp 7 vòng 15 năm 2015 - 2016
Mời làm: Luyện thi Violympic Toán lớp 7 vòng 16 năm 2015 - 2016 trực tuyến
Bài 1: Tìm cặp bằng nhau

Bài 2: Đi tìm kho báu
Câu 2.1: Cho a là một số hữu tỉ dương nhỏ hơn 1. Khẳng định nào dưới đây là đúng.
a. -a < -1 b. a > 1 c. a2 < a d. a2 > a
Câu 2.2: Trong mặt phẳng tọa độ Oxy vẽ một hình vuông OABC có A(0; -3); C(3; 0). Vậy tọa độ điểm B là ..............
a. B(3; -3) b. B(-3; -3) c. B(-3; 3) d. B(3; 3)
Câu 2.3: Cho x - y = 9
Tính giá trị biểu thức:
ta được B = ...........
a. -1 b. 0 c. 2 d. 1
Câu 2.4: Tính giá trị của A = x + 2y + 3z . Biết (x + 2y)2 + (y - 1)2 + (x - z)2 = 0
a. -6 b. -5 c. -4 d. -3
Câu 2.5: Số hạng thứ 15 của dãy: 1/2; 2/6; 3/12; 4/20; 5/30; ..... là:
a. 15/200 b. 15/240 c. 15/220 d. 15/120
Bài 3: Đỉnh núi trí tuệ
Câu 3.1: Trên mặt phẳng Oxy lấy điểm A(3; -5). Trên đường thẳng OA lấy điểm B sao cho OB = OA (B khác A). Khi đó tọa độ của điểm B là (.....)
Câu 3.2: Cho tam giác ABC, phân giác AM đồng thời M là trung điểm của BC. Tính BC biết AB = 37cm; AM = 35cm
Câu 3.3: Cho góc xOy = 100o. Lấy điểm A bên trong xOy. Qua A kẻ AH vuông góc với Ox, AK vuông góc với Oy (H thuộc Ox, K thuộc Oy). Khi đó số đo góc KAH = ...........o.
Câu 3.4: Phân số tối giản x/y với mẫu dương thỏa mãn ![]()
Câu 3.5: Tìm ba số x, y, z biết x + y + z = 350 và ![]()
Câu 3.6: Cho x; y; z khác 0 và x - y - z = 0.
Tính giá trị biểu thức: ![]()
Câu 3.7: Tìm x và y biết x/y2 = 3 và x/y = 27
Câu 3.8: Biết 12 + 22 + 32 + ....... + 102 = 385. Tính S = (1/7)2 + (2/7)2 + (3/7)2 + ........ + (10/7)2
Câu 3.9: Tìm x, biết: ![]()
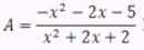
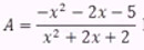
Câu 3.10: Giá trị nhỏ nhất của biểu thức:
là ...........
Đáp án đề luyện thi Violympic Toán lớp 7 vòng 16
Bài 1: Tìm cặp bằng nhau
(1) = (3); (2) = (15); (4) = (8); (5) = (11); (6) = (12); (7) = (17); (9) = (19); (10) = (13); (14) = (16); (18) = (20);
Bài 2: Đi tìm kho báu
Câu 2.1: c
Câu 2.2: a
Câu 2.3: c
Câu 2.4: a
Câu 2.5: b
Bài 3: Đỉnh núi trí tuệ
Câu 3.1: -3; 5
Câu 3.2: 24
Câu 3.3: 80
Câu 3.4: 6/5
Câu 3.5: 105; 110; 135
Câu 3.6: -1
Câu 3.7: 243; 9
Câu 3.8: 55/7
Câu 3.9: 2013
Câu 3.10: -4