Giao diện mới của VnDoc Pro: Dễ sử dụng hơn - chỉ tập trung vào lớp bạn quan tâm. Vui lòng chọn lớp mà bạn quan tâm: Lưu và trải nghiệm
Đóng
Điểm danh hàng ngày
  • Hôm nay +3
  • Ngày 2 +3
  • Ngày 3 +3
  • Ngày 4 +3
  • Ngày 5 +3
  • Ngày 6 +3
  • Ngày 7 +5
Bạn đã điểm danh Hôm nay và nhận 3 điểm!
Nhắn tin Zalo VNDOC để nhận tư vấn mua gói Thành viên hoặc tải tài liệu Hotline hỗ trợ: 0936 120 169

Đề thi Violympic Toán lớp 7 vòng 15 năm 2015 - 2016

Lớp: Lớp 9
Môn: Toán
Loại File: PDF + Word
Phân loại: Tài liệu Tính phí

Đề thi Violympic Toán lớp 7 vòng 15

Đề thi Violympic Toán lớp 7 vòng 15 năm 2015 - 2016 là đề thi giải Toán qua mạng có đáp án đi kèm, hi vọng giúp các em học sinh ôn tập và củng cố kiến thức, nhằm đạt kết quả cao trong các vòng tiếp theo của cuộc thi Violympic giải Toán qua mạng năm học 2015 - 2016.

Đề thi Violympic Toán lớp 7 vòng 13 năm 2015 - 2016

Đề thi Violympic Toán lớp 7 vòng 14 năm 2016 - 2017

Đề thi Violympic Toán lớp 7 vòng 15 năm 2016 - 2017

Mời làm: Đề thi Violympic Toán lớp 7 vòng 15 năm 2015 - 2016 trực tuyến

Bài 1: Cóc vàng tài ba

Câu 1.1: Chọn phát biểu không đúng trong các phát biểu phía dưới:

a. Diện tích tam giác vuông bằng nửa tích độ dài hai cạnh góc vuông.

b. Tam giác tù là tam giác có một góc tù.

c. Hai tam giác có diện tích bằng nhau thì bằng nhau.

d. Tam giác đều là tam giác có 3 cạnh bằng nhau.

Câu 1.2: Số ước nguyên của 6 là:

a. 6 b. 3 c. 8 d. 4

Câu 1.3: ΔABC và ΔMNP có AB = MN và AC = MP. Nếu hai tam giác đó bằng nhau theo trường hợp cạnh - góc - cạnh thì ta cần thêm yếu tố nào dưới đây?

a. Góc ABC bằng góc MNP

b. Góc BAC bằng góc PMN

c. BC = NP

d. Góc ACB bằng góc MPN

Câu 1.4: Chọn phát biểu đúng trong các phát biểu phía dưới:

a. Nếu có MA = MB thì M là trung điểm của AB.

b. Ba điểm phân biệt luôn tạo thành một tam giác.

c. Một tam giác bất kì có nhiều nhất một góc tù.

d. Một tam giác bất kì có nhiều nhất hai góc nhọn.

Câu 1.5: Để sửa một ngôi nhà cần 3 người làm trong 6 giờ. Hỏi nếu vẫn ngôi nhà đó muốn sửa xong trong 2 giờ thì cần bao nhiêu người? (giả sử năng suấ mỗi người là như nhau)

a. 12 người b. 1 người c. 6 người d. 9 người

Câu 1.6: Số giá trị nguyên dương thỏa mãn 2n - 1 là ước của 25 là:

a. 2 b. 4 c. 1 d. 8

Câu 1.7: Điểm I trên đoạn thẳng BC và 3.IB = 2.IC. Vậy tỉ số BC/IC bằng:

a. 5/3 b. 2/3 c. 5/2 d. 3/2

Câu 1.8: Số tự nhiên a chia cho số tự nhiên b được 6. Vậy a chia cho 3b được kết quả là:

a. Không chia hết b. 2 c. 18 d. 1/2

Câu 1.9: Tìm k thuộc N, biết: x3y5 + 3x3y5 + 5x3y5 + ...... + (2k - 1)x3y5 = 3249x3y5

a. k = 114 b. k = 56 c. k = 57 d. k = 112

Câu 1.10: Từ tỉ lệ thức: Đề thi violympic toán lớp 7ta được tỉ lệ thức:

a. x/15 = y/10 = z/12

b. x/10 = y/12 = z/15

c. x/6 = y/5 = z/4

d. x/4 = y/5 = z/6

Bài 2: Đỉnh núi trí tuệ

Câu 2.1: Số các số nguyên x sao cho biểu thức A = 3/(x + 2) nhận giá trị nguyên là: ..........

Câu 2.2: Cho x, y là các số thỏa mãn x/5 = y/4 và x + y = -18. Vậy (x; y) = (.....). Nhập các giá trị theo thứ tự, ngăn cách nhau bởi dấu ";"

Câu 2.3: Tam giác ABC có góc A bằng 30o, góc B bằng 60o thì số đo góc ngoài tại đỉnh C là ..........o.

Câu 2.4: Tính biểu thức A = I-3 - I-7II ta được A = ..........

Câu 2.5: Nếu 0 < a < b < c < d < e < f và (a - b)(c - d)(e - f)x = (b - a)(d - c)(f - e) thì x = ...........

Câu 2.6: Số cặp nguyên (x; y) thỏa mãn 36x + 75y = 136 là .........

Câu 2.7: Tính: [6.(29)32] : [2.(29)20] = .........

Câu 2.8: Nếu 3600 quả bóng rổ được phân phối vào 4 cửa hàng theo tỉ lệ 1 : 2 : 3 : 4 thì số lượng bóng rổ lớn nhất mà một cửa hàng nào đó trong 4 cửa hàng nhận được ......... quả.

Câu 2.9: Nếu tam giác ABC có AB = 3cm, góc A bằng 70o và góc B bằng 55o thì độ dài cạnh AC là ....... cm.

Câu 2.10: Cho Đề thi violympic toán lớp 7

So sánh A với -1/9 ta được: A ....... -1/9. Điền dấu >, <, = thích hợp vào chỗ chấm

Bài 3: Hãy điền số thích hợp vào chỗ chấm.

Câu 3.1: Tìm x biết 4/x = x2/4

Câu 3.2: Biết 15/x = 3/5. Vậy x = .........

Câu 3.3: Giá trị nguyên của x thỏa mãn I17x - 5I - I17x + 5I = 0 là x = .......

Câu 3.4: Tìm hai số x, y âm biết rằng x/2 = y/5 và x.y = 40.

Câu 3.5: Tìm số tự nhiên n biết 2n + 2n - 2 = 5/2

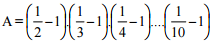
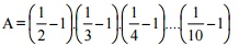
Câu 3.6: Giá trị lớn nhất của biểu thức Đề thi violympic toán lớp 7là: ..........

Câu 3.7: Tìm x biết: [1/(2.5) + 1/(5.8) + 1/(8.11) + ....... + 1/(65.68)].x - 7/34 = 19/68

Câu 3.8: Giá trị nhỏ nhất của biểu thức: A = Ix - 7I + 6 - x là ..........

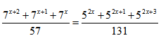
Câu 3.9: Tìm x biết:

Câu 3.10: Hãy điền dấu >, < , hoặc = thích hợp vào chỗ chấm:

Tập hợp các số nguyên x thỏa mãn -10/3 < x < 17/9 là {.......}

Đáp án đề thi Violympic Toán lớp 7 vòng 15

Bài 1: Cóc vàng tài ba

Câu 1.1: c

Câu 1.2: c

Câu 1.3: b

Câu 1.4: c

Câu 1.5: d

Câu 1.6: c

Câu 1.7: a

Câu 1.8: b

Câu 1.9: c

Câu 1.10: c

Bài 2: Đỉnh núi trí tuệ

Câu 2.1: 4

Câu 2.2: -10; -8

Câu 2.3: 90

Câu 2.4: 10

Câu 1.5: -1

Câu 2.6: 0

Câu 2.7: 2523

Câu 2.8: 1440

Câu 2.9: 3

Câu 2.10: >

Bài 3: Hãy điền số thích hợp vào chỗ chấm

Câu 3.1: -2

Câu 3.2: 25

Câu 3.3: 0

Câu 3.4: 4; 10

Câu 3.5: 1

Câu 3.6: 2

Câu 3.7: 3

Câu 3.8: -1

Câu 3.9: 0

Câu 3.10: -3; -2; -1; 0; 1

Chọn file muốn tải về:
Đóng Chỉ thành viên VnDoc PRO/PROPLUS tải được nội dung này!
Đóng
79.000 / tháng
Đặc quyền các gói Thành viên
PRO
Phổ biến nhất
PRO+
Tải tài liệu Cao cấp 1 Lớp
30 lượt tải tài liệu
Xem nội dung bài viết
Trải nghiệm Không quảng cáo
Làm bài trắc nghiệm không giới hạn
Mua cả năm Tiết kiệm tới 48%

Có thể bạn quan tâm

Xác thực tài khoản!

Theo Nghị định 147/2024/ND-CP, bạn cần xác thực tài khoản trước khi sử dụng tính năng này. Chúng tôi sẽ gửi mã xác thực qua SMS hoặc Zalo tới số điện thoại mà bạn nhập dưới đây:

Số điện thoại chưa đúng định dạng!
Số điện thoại này đã được xác thực!
Bạn có thể dùng Sđt này đăng nhập tại đây!
Lỗi gửi SMS, liên hệ Admin
Sắp xếp theo
🖼️

Toán 9

Xem thêm
🖼️

Gợi ý cho bạn

Xem thêm