Đề thi Violympic Toán lớp 7 vòng 13 năm 2015 - 2016
Đề thi Violympic Toán lớp 7 vòng 13
Đề thi Violympic Toán lớp 7 vòng 13 năm 2015 - 2016 là đề thi giải Toán qua mạng có đáp án đi kèm, hi vọng giúp các em học sinh ôn tập và củng cố kiến thức, nhằm đạt kết quả cao trong các vòng tiếp theo của cuộc thi Violympic giải Toán qua mạng năm học 2015 - 2016.
Đề thi Violympic Toán lớp 7 vòng 11 năm 2015 - 2016
Đề thi Violympic Toán lớp 7 vòng 12 năm 2015 - 2016
Đề thi Violympic Toán lớp 7 vòng 13 năm 2016 - 2017
Mời làm: Đề thi Violympic Toán lớp 7 vòng 13 năm 2015-2016 trực tuyến
Bài 1: Sắp xếp các giá trị theo thứ tự tăng dần.

Bài 2: Đi tìm kho báu
Câu 2.1: Cho tam giác ABC vuông tại A có góc B = 60o. Khi đó góc ngoài tại đỉnh C có số đo bằng: ............o.
Câu 2.2: Điểm M(-2; 6) thuộc đồ thị hàm số y = ax. Vậy a = ...........
Câu 2.3: Số tự nhiên n thỏa mãn 1/81 . 34 . 3n = 37 là n = ..........
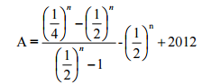
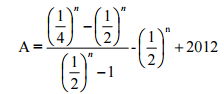
Câu 2.4: Cho m là số tự nhiên. Giá trị biểu thức
là .............
Câu 2.5: Nếu x + y = 0 thì giá trị biểu thức A = x3 + 2x2y + 2x + xy2 + 2y + 12 là: .............
Bài 3: Đỉnh núi trí tuệ
Câu 3.1: Giá trị của x trong đẳng thức (3x - 1)3 = 64 là x = .................
Câu 3.2: Tính: ![]()
Câu 3.3: Giá trị nhỏ nhất của biểu thức A = Ix + 1I3 + 4 là: ............
Câu 3.4: Biết 28 = (22)x. Khi đó x2 + 32 bằng: ..............
Câu 3.5: Biết x; y thỏa mãn Ix + 1I + Ix - y + 2I = 0. Khi đó x2 + y2 + 1 = ................
Câu 3.6: Cho tam giác ABC có độ dài ba cạnh là AB : AC : BC = 3 : 4 : 5. Chu vi tam giác là 120cm. Diện tích tam giác ABC là: ............ cm2.
Câu 3.7: Giá trị lớn nhất của biểu thức
là: ............
Câu 3.8: So sánh A = 3200 và B = 2300 ta được A .......... B
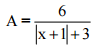
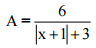
Câu 3.9: Với n là số tự nhiên khác 0, khi đó giá trị biểu thức:
là: ...............
Câu 3.10: Biết Ix + 2I2 = 16. Số giá trị x thỏa mãn là: ............
Đáp án đề thi Violympic Toán lớp 7 vòng 13
Bài 1: Sắp xếp các giá trị theo thứ tự tăng dần
(9) < (1) < (6) < (5) < (8) < (10) < (2) < (3) < (7) < (4)
Bài 2: Đi tìm kho báu
Câu 2.1: 150
Câu 2.2: -3
Câu 2.3: 7
Câu 2.4: 2012
Câu 2.5: 12
Bài 3: Đỉnh núi trí tuệ
Câu 3.1: 5/3
Câu 3.2: 46
Câu 3.3: 4
Câu 3.4: 25
Câu 3.5: 3
Câu 3.6: 600
Câu 3.7: 2
Câu 3.8: >
Câu 3.9: 2012
Câu 3.10: 2