Đề thi Violympic Toán lớp 7 vòng 12 năm 2015 - 2016
Đề thi Violympic Toán lớp 7 vòng 12
Đề thi Violympic Toán lớp 7 vòng 12 năm 2015 - 2016 là đề thi giải Toán qua mạng có đáp án đi kèm, hi vọng giúp các em học sinh ôn tập và củng cố kiến thức, nhằm đạt kết quả cao trong các vòng tiếp theo của cuộc thi Violympic giải Toán qua mạng năm học 2015 - 2016.
Đề thi Violympic Toán lớp 7 vòng 10 năm 2015 - 2016
Đề thi Violympic Toán lớp 7 vòng 11 năm 2015 - 2016
Đề thi Violympic Toán lớp 7 vòng 12 năm 2016 - 2017
Mời làm: Đề thi Violympic Toán lớp 7 vòng 12 năm 2015-2016 trực tuyến
Bài 1: Sắp xếp các giá trị theo thứ tự tăng dần

Bài 2: Cóc vàng tài ba
Câu 2.1: Đồ thị của hàm số y = ax (khác 0) luôn đi qua điểm:
A. B(0; 1) B. C(1; 1) C. A(1; 0) D. O(0; 0)
Câu 2.2: Cho x và y thỏa mãn 7x = 8y. Chọn khẳng định đúng trong các khẳng định dưới đây.
A. x = 7/8 . y B. x/y = 7/8
C. x/8 = y/7 D. x/7 = y/8
Câu 2.3: Cho hàm số y = f(x) = 3 - x2. Khẳng định nào sau đây là không đúng.
A. f(2) = -1 B. f(1) = 2
C. f(-4) = -13 D. f(-1) = 4
Câu 2.4: Hàm số y = f(x) = 1/2015 . x nhận giá trị âm khi:
A. Với mọi x B. x = 0 C. x > 0 D. x < 0
Câu 2.5: Biết x : y = 6 : 7 và y - x = 2. Vậy giá trị của x, y là:
A. x = 12; y = 14
B. x = 18; y = 20
C. x = 10; y = 12
D. x = 14; y = 16
Câu 2.6: Chọn khẳng định không đúng trong các khẳng định dưới đây.
A. 252.24 > 38
B. ![]()
C. (1/2)2 > (1/3)2
D. xm.xn = xm + n
Câu 2.7: Kết quả của phép tính: (3/5)2003 : (9/25)1000 bằng:
A. 9/25 B. (3/5)1003 C. (3/5)3 D. (5/3)3
Câu 2.8: Cho tam giác ABC, góc A = 50o; số đo góc B : số đo góc C = 2 : 3. Khi đó số đo các góc B và C lần lượt là:
A. 60o và 90o B. 52o và 78o
C. 48o và 82o D. 54o và 76o
Câu 2.9: Giá trị x, y để biểu thức A = (x - y)2 + (2x + 3y - 10)2 - 2 đạt giá trị nhỏ nhất là:
A. x = 1; y = 2
B. x = -1; y = 1
C. x = 2; y = 2
D. x = 1; y = 1
Câu 2.10: Số các giá trị nguyên của x để nguyên là: 
A. 4 B. 3 C. 5 D. 2
Bài 3: Hãy điền số thích hợp vào chỗ chấm
Câu 3.1: Cho hàm số: y = f(x) = 5 - 3x. Giá trị của x khi y = 26 là:..........
Câu 3.2: Cho tam giác OAB có OA = OB, AB = 10cm. Tia phân giác của góc O cắt AB tại D. Độ dài AD =....... cm.
Câu 3.3: Cho hàm số y = f(x) = -3x + 8. Khi đó f(-5) = ...............
Câu 3.4: Tam giác ABC có AB = AC, góc A = 140o thì góc B = ........o
Câu 3.5: Tìm A biết rằng: ![]()
Câu 3.6: Cho hai góc xOy và yOz kề bù; biết số đo góc yOz = 120o. Vậy số đo góc xOy =......o.
Câu 3.7: Tìm x, biết: ![]()
Câu 3.8: Tam giác ABC có góc A = 40o. Các đường cao cắt nhau tại H. Khi đó số đo góc BHC =....... o.
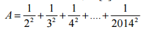
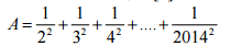
Câu 3.9: Kí hiệu [x] là số nguyên lớn nhất không vượt quá x. Tìm [A] biết ![]()
Câu 3.10: Số dư của A = 20 + 21 + 22 + .......... + 22012 khi chia cho 7 là: ..................
Đáp án đề thi Violympic Toán lớp 7 vòng 12
Bài 1: Sắp xếp các giá trị theo thứ tự tăng dần
(10) < (9) < (7) < (6) < (3) < (4) < (1) < (8) < (2) < (5)
Bài 2: Cóc vàng tài ba
Câu 2.1: D
Câu 2.2: C
Câu 2.3: D
Câu 2.4: D
Câu 2.5: A
Câu 2.6: B
Câu 2.7: C
Câu 2.8: B
Câu 2.9: C
Câu 2.10: A
Bài 3: Hãy điền số thích hợp vào chỗ chấm
Câu 3.1: -7
Câu 3.2: 5
Câu 3.3: 23
Câu 3.4: 20
Câu 3.5: 0,5
Câu 3.6: 60
Câu 3.7: 0
Câu 3.8: 140
Câu 3.9: 0
Câu 3.10: 1