Giao diện mới của VnDoc Pro: Dễ sử dụng hơn - chỉ tập trung vào lớp bạn quan tâm. Vui lòng chọn lớp mà bạn quan tâm: Lưu và trải nghiệm
Đóng
Điểm danh hàng ngày
  • Hôm nay +3
  • Ngày 2 +3
  • Ngày 3 +3
  • Ngày 4 +3
  • Ngày 5 +3
  • Ngày 6 +3
  • Ngày 7 +5
Bạn đã điểm danh Hôm nay và nhận 3 điểm!
Nhắn tin Zalo VNDOC để nhận tư vấn mua gói Thành viên hoặc tải tài liệu Hotline hỗ trợ: 0936 120 169

Trắc nghiệm Rút gọn phân số Toán lớp 4 Online

Đóng
Bạn đã dùng hết 1 lần làm bài Trắc nghiệm miễn phí. Mời bạn mua tài khoản VnDoc PRO để tiếp tục! Tìm hiểu thêm
Mô tả thêm:

Bài tập Toán lớp 4 có đáp án 

Cùng ôn tập và thực hành giải các bài toán rút gọn phân số qua bài trắc nghiệm Rút gọn phân số thuộc Bài tập Toán lớp 4 trên trang VnDoc.com nhé! Hi vọng thông qua việc trả lời các câu hỏi trong bài test sẽ giúp bạn thành thạo kĩ năng rút gọn phân số và nâng cao khả năng giải các bài toán liên quan đến phân số. Chúc các bạn học tốt!

Bài tập rút gọn phân số liên quan:

  • Số câu hỏi: 10 câu
  • Số điểm tối đa: 10 điểm
Bắt đầu làm bài
Bạn còn 1 lượt làm bài tập miễn phí. Hãy mua tài khoản VnDoc PRO để học không giới hạn nhé! Bạn đã HẾT lượt làm bài tập miễn phí! Hãy mua tài khoản VnDoc PRO để làm Trắc nghiệm không giới hạn và tải tài liệu nhanh nhé!
Mua ngay Đổi điểm
Trước khi làm bài bạn hãy
  • 1 Ôn tập kiến thức đã nêu trong phần Mô tả thêm
  • 2 Tìm không gian và thiết bị phù hợp để tập trung làm bài
  • 3 Chuẩn bị sẵn dụng cụ cần dùng khi làm bài như bút, nháp, máy tính
  • 4 Căn chỉnh thời gian làm từng câu một cách hợp lý
  • Câu 1: Nhận biết

    Câu 1:

    Hãy rút gọn phân số 56/64 thành phân số tối giản.
    Trả lời: Đó là phân số ............
  • Câu 2: Nhận biết
    Câu 2: Tính giá trị của biểu thức sau: 
    Trả lời:
    Giá trị biểu thức A là: .........1/3
    Viết kết quả dưới dạng phân số tối giản.
    Đáp án là:
    Câu 2: Tính giá trị của biểu thức sau: 
    Trả lời:
    Giá trị biểu thức A là: .........1/3
  • Câu 3: Nhận biết
    Câu 3: Hãy tìm 1 số tự nhiên, biết rằng sau khi chia cả tử số và mẫu số của phân số 49/56 cho số đó ta được phân số 7/8.
    Trả lời:
    Số tự nhiên đó là: ..........7
    Đáp án là:
    Câu 3: Hãy tìm 1 số tự nhiên, biết rằng sau khi chia cả tử số và mẫu số của phân số 49/56 cho số đó ta được phân số 7/8.
    Trả lời:
    Số tự nhiên đó là: ..........7
  • Câu 4: Nhận biết
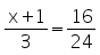
    Câu 4: Tìm x, biết: 
    Trả lời:
    x = ..........1
    Đáp án là:
    Câu 4: Tìm x, biết: 
    Trả lời:
    x = ..........1
  • Câu 5: Nhận biết

    Câu 5:

    Phân số tối giản bằng phân số 198/432 là:
  • Câu 6: Nhận biết

    Câu 6:

    Phân số nào trong các phân số dưới đây không bằng phân số 18/36?
  • Câu 7: Nhận biết

    Câu 7:

    Bao gạo có 45kg, cửa hàng đã bán 9kg. Hỏi cửa hàng đã bán bao nhiêu phần bao gạo?
  • Câu 8: Nhận biết

    Câu 8:

    Chọn phân số tối giản bằng phân số 126/378?
  • Câu 9: Nhận biết
    Câu 9: 35/49 của 21kg gạo là ............kg gạo.15
    Đáp án là:
    Câu 9: 35/49 của 21kg gạo là ............kg gạo.15
  • Câu 10: Nhận biết
    Câu 10: Phân số 8008/12012 bằng phân số tối giản nào?2/3
    Đáp án là:
    Câu 10: Phân số 8008/12012 bằng phân số tối giản nào?2/3

Chúc mừng Bạn đã hoàn thành bài!

Trắc nghiệm Rút gọn phân số Toán lớp 4 Online Kết quả
  • Thời gian làm bài: 00:00:00
  • Số câu đã làm: 0
  • Điểm tạm tính: 0
  • Điểm thưởng: 0

Đấu trường Rút gọn phân số Toán lớp 4 Online

Đang tìm đối thủ...

Đang tải...

Xác thực tài khoản!

Theo Nghị định 147/2024/ND-CP, bạn cần xác thực tài khoản trước khi sử dụng tính năng này. Chúng tôi sẽ gửi mã xác thực qua SMS hoặc Zalo tới số điện thoại mà bạn nhập dưới đây:

Số điện thoại chưa đúng định dạng!
Số điện thoại này đã được xác thực!
Bạn có thể dùng Sđt này đăng nhập tại đây!
Lỗi gửi SMS, liên hệ Admin
Sắp xếp theo